当两个线圈同时有电流流入时,每个线圈中产生的自感磁通与互感磁通的方向一致(即两个磁通互相加强),则把流入电流的两个端钮就称为同名端。同名端通常用相同的符号“·”或“*”标记。

可用实验的方法测定,如图10-1-3,称为直流通断法。

当开关S闭合的瞬间,直流电压表正向偏转,可以判断1、2两端为同名端。
判断互感线圈的同名端在实际工程中是非常重要的。
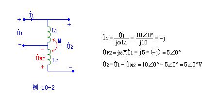
【实例10-2】具有互感的电路如图例10-2,已知ωL1=ωL2=10Ω,ωM=5Ω,
【解】设互感电压的参考方向如图所示。

当两个线圈同时有电流流入时,每个线圈中产生的自感磁通与互感磁通的方向一致(即两个磁通互相加强),则把流入电流的两个端钮就称为同名端。同名端通常用相同的符号“·”或“*”标记。

可用实验的方法测定,如图10-1-3,称为直流通断法。

当开关S闭合的瞬间,直流电压表正向偏转,可以判断1、2两端为同名端。
判断互感线圈的同名端在实际工程中是非常重要的。
【实例10-2】具有互感的电路如图例10-2,已知ωL1=ωL2=10Ω,ωM=5Ω,
【解】设互感电压的参考方向如图所示。
