一、共发射极放大电路
(一)电路的组成:电源VCC通过RB1、RB2、RC、RE使晶体三极管获得合适的偏置,为三极管的放大作用提供必要的条件,RB1、RB2称为基极偏置电阻,RE称为发射极电阻,RC称为集电极负载电阻,利用RC的降压作用,将三极管集电极电流的变化转换成集电极电压的变化,从而实现信号的电压放大。与RE并联的电容CE,称为发射极旁路电容,用以短路交流,使RE对放大电路的电压放大倍数不产生影响,故要求它对信号频率的容抗越小越好,因此,在低频放大电路中CE通常也采用电解电容器。
Vcc(直流电源): 使发射结正偏,集电结反偏;向负载和各元件提供功率
C1、C2(耦合电容): 隔直流、通交流;
RB1、RB2(基极偏置电阻): 提供合适的基极电流
RC(集极负载电阻): 将 DIC ? DUC ,使电流放大 ? 电压放大
RE(发射极电阻): 稳定静态工作点“Q ”
CE(发射极旁路电容): 短路交流,消除RE对电压放大倍数的影响
(二)直流分析:开放大电路中的所有电容,即得到直流通路,如下图所示,此电路又称为分压偏置式工作点稳定直电流通路。电路工作要求:I1 ?(5~10)IBQ,UBQ? (5 ~ 10)UBEQ 838电子
求静态工作点Q:
方法1.估算
工作点Q不稳定的主要原因:Vcc波动,三极管老化,温度变化稳定Q点的原理:
方法2.利用戴维宁定理求 IBQ
(三)性能指标分析
将放大电路中的C1、C2、CE短路,电源Vcc短路,得到交流通路,然后将三极管用H参数小信号电路模型代入,便得到放大电路小信号电路模型如下图所示。
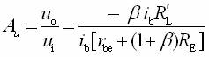
1.电压放大倍数
2.输入电阻计算
3.输出电阻 Ro = RC
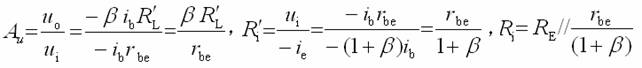
没有旁路电容CE时:
1.电压放大倍数
源电压放大倍数
2.输入电阻
3.输出电阻 Ro = RC
二、共集电极放大电路 (射极输出器、射极跟随器)
(一)电路组成与静态工作点
共集电极放大电路如下图(a)所示,图(b)、(c)分别是它的直流通路和交流通路。由交流通路看,三极管的集电极是交流地电位,输入信号ui和输出信号uo以它为公共端,故称它为共集电极放大电路,同时由于输出信号uo取自发射极,又叫做射极输出器。
IBQ =(Vcc–UBEQ)/[RB +(1+b) RE] ICQ = bIBQ,UCEQ=Vcc–ICQRE
(二)性能指标分析
1.电压放大倍数
2.输入电阻
R?L=RE//RL
3.输出电阻
共集电极电路特点 共集电极电路用途
1.Uo与Ui同相,具有电压跟随作用 1.高阻抗输入级
2.无电压放大作用 Au<1 2.低阻抗输出级
3.输入电阻高;输出电阻低 3.中间隔离级
一、共基极放大电路
共基极放大电路如下图所示。由图可见,交流信号通过晶体三极管基极旁路电容C2接地,因此输入信号ui由发射极引入、输出信号uo由集电极引出,它们都以基极为公共端,故称共基极放大电路。从直流通路看,也构成分压式电流负反馈偏置。
(一)求“Q”略
(二)性能指标分析
RO=RC
(三)特点:共基极放大电路具有输出电压与输入电压同相,电压放大倍数高、输入电阻小、输出电阻大等特点。由于共基极电路有较好的高频特性,故广泛用于高频或宽带放大电路中。






















返回顶部
刷新页面
下到页底