LC振荡电路优缺点:
LC振荡电路的优点是振荡频率较高,可以达到100MHz以上,缺点是频率稳定性不高,最好的LC振荡电路,其频率稳定度Δf/f也只能达到10-5,为此,讨论石英晶体振荡电路。
由石英晶体组成的正弦波振荡电路,频率稳定度可以达到10-6~10-8,一些产品甚至高达10-10~10-11,与LC振荡电路有很大的差异。
一、石英晶体
1、石英晶体结构

2、石英晶体的频率特性
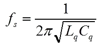
晶体有两个谐振频率点,fs和fp,前者称为串联谐振频率,后者称为并联谐振频率



特点:
1、在串联和并联谐振频率之间,晶体表现为感性。
2、这一区域很窄。
二、晶体振荡电路
1、并联型石英晶体振荡电路
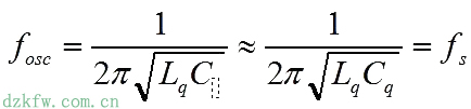
等效于电感的晶体BC和电容C1、C2组成LC并联谐振电路,这一谐振电路即为振荡电路的选频环节
C表示C1、C2和Cq串联的总电容

由此求得并联谐振频率为


(2)串联型石英晶体振荡电路
电路结构:
VT1、VT2组成两级放大电路,第一级是共基极放大电路,第二级是共集电极放大电路,反馈支路由电阻Rf和石英晶体BC组成。
工作原理:
反馈信号的大小与频率有关,频率等于晶体串联谐振频率fs时,晶体交流短路,正反馈信号很大,偏离这一频率时,晶体有很高的电抗而使反馈电压趋于零,因此达到稳定状态之后,振荡电路输出频率为fs的正弦波信号


返回顶部
刷新页面
下到页底