用RC选频网络实现正弦振荡的电路如图所示。

电路由三部分组成:放大器A部分;RC串并联网络:形成正反馈;二只电阻构成了负反馈支路:稳定振荡幅度。
电路是如何振荡起来的呢?
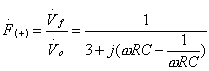
RC串并联网络的频率特性可用下式表示:

当参数选取R1=R2=R,C1=C2=C后,
,令
,则
正反馈网络的幅频表达式:
,
正反馈网络的相频表达式:
频率特性如下图所示:
由图说明:(1)当
时,电路为正反馈,而且正反馈最强。所以,只有在此时才能产生单一频率的振荡。
(2)
时,
所以有
,这又说明,只要有大于3倍的闭环增益,电路就能起振。3倍的闭环增益可方便地通过调节负反馈网络的两只电阻实现。起振后,如不加稳幅措施,则输出幅度会越来越大,最终出现非线性失真(饱和和截止失真)→停振→又慢慢起振→......。
稳幅过程实际上是使环路增益自动保持在1(即
=1)的过程。当输出幅度增加时,希望负反馈加强;幅度减少时,负反馈度弱。这个过程可由负反馈网络实现,如
固定 ,则
用负温度系数的热敏电阻;如
固定 ,则
用正温度系数的热敏电阻。


返回顶部
刷新页面
下到页底