以LC谐振电路作为选频环节的正弦波振荡电路,统称LC正弦波振荡电路。这类振荡电路能产生几十kHz直到几百MHz的正弦波信号,在高频电路中用得比较多。
LC振荡电路又分为变压器反馈式、电感反馈式和电容反馈式三种,变压器反馈式又称互感反馈式振荡电路。
一、变压器反馈式LC振荡电路
电路组成
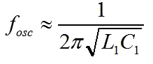
VT1接成共射极放大电路,集电极负载是电容C1和电感L1组成并联谐振回路。
工作原理
反馈电压通过电感L1和L2的互感耦合经电容到基极,形成正反馈。
振荡频率

二、电容反馈式振荡电路
1、电容三点式振荡电路之一
电路组成
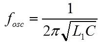
VT1属共基极放大电路, LC谐振回路两个串联电容C1、C2接晶体管的三个极。
工作原理
属电容三点式振荡电路
振荡频率


2、电容三点式振荡电路之二
电路组成
VT1接成共射极形式。
工作原理
电容三点式振荡电路
振荡频率


3、改进型三点式振荡电路
前述三点式振荡电路存在问题:
极间电容和杂散电容形成的输入输出电容Ci和Co 限制了频率的提高。
改进电路
电感支路串入一个小容量的电容C 

频率决定于电容C,几乎与C1、C2无关。C小,频率就可以提高。
3、实用三点式振荡电路
无绳电话的电容三点式正弦波振荡电路,其中电容C1=15pF,C2=5.6pF,C3=4700pF,电阻R1=10kΩ,R2=1.8 kΩ,Re=330Ω,三极管VT1的型号为9018,所产生的正弦波频率在88~108MHz之间。


返回顶部
刷新页面
下到页底