(1)电容三点式电路
图1 电容三点式振荡电路
图1是一种电容三点式振荡电路(又称考毕兹电路电路),(a)为原理电路,(b)为交流通路。图中,C1、C2是回路电容,L是回路电感,CE高频旁路电容,Cc是耦合电容。一般来讲,高频旁路电容与耦合电容都比回路电容大一个数量级以上,对于高频电路来讲可视为短路。分析可得:
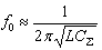
振荡频率:
,其中
。 考虑到
和
的影响,实际振荡频率稍高于
。
(2)电感三点式电路(又称哈特来电路)
图2 电感三点式振荡电路 图2 是一种电感三点式振荡电路(又称哈特来电路),(a)为原理电路,(b)为交流通路。
分析可得:
振荡频率:
,其中
。(电感L1、L2是串联,且二者之间的互感为M) 

返回顶部
刷新页面
下到页底