一、机械凸轮
机械凸轮是一个具有曲线轮廓或凹槽的构件,它把运动特性传递给紧靠其边缘移动的推杆,推杆又带动机架做周期性运动。
凸轮的推杆位置跟随凸轮角度的周期性变化而变化,其运动特性与机械凸轮的外形相关, 定义 凸轮为主轴,推杆为从轴,那么凸轮的实质就是从轴对应主轴的一种函数关系。机械凸轮需要机械上的连接才能使推杆跟随运动。
图1-从动件直动 图2-从动件摆
二、电子凸轮
电子凸轮是经机械凸轮演变而来的一种脱离机械结构而又保持机械凸轮特性的一种控制方式。电子凸轮相当于无数个各种类型的机械凸轮的 集合体,只需进行参数配置,即可适用于各种方案。
主要是利用算法去规划两个电机或者多个电机之间的运动轨迹。电子凸轮其实就是 主轴位置和从轴位置的一种函数对应关系。典型的电子凸轮应用有:飞剪、旋切、追剪、飞锯、跟随、同步、追及等。
2.1 电子凸轮相比于机械凸轮的优点
兼容性: 机械凸轮一种结构只能实现一种运动动作,电子凸轮可以通过程序修改;
运行精度: 电气元件精度远高于机械精度;
设备结构: 电子凸轮机构上的组成通常仅需一套简单的传送机构;
安全性能: 伺服系统的制动时间远短于机械动态制动;
2.2 电子凸轮根据动作特点分类
单向型:一致执行同向运动,如飞剪、旋切、追及等;
双向型:执行的往复运动如追剪、飞锯等;
特殊型:根据自由的曲线进行动作的曲线,如跟随、同步等;
三、追剪与飞剪的定义以及区别
电子凸轮广泛应用于包装,印刷,木工,锂电,硅晶等先 进制造行业。电子凸轮相比于机械凸轮,更加灵活易用。电子凸轮修改只需要修改相应的位置和速度曲线即可,而机械凸轮的修改需要加工机械零件。
3.1 追剪与飞剪定义
飞剪:剪切机构一般为圆周运动,与被剪切物体同向运动,通过改变剪切机构运行中的速度,达到改变剪切长度的目的。
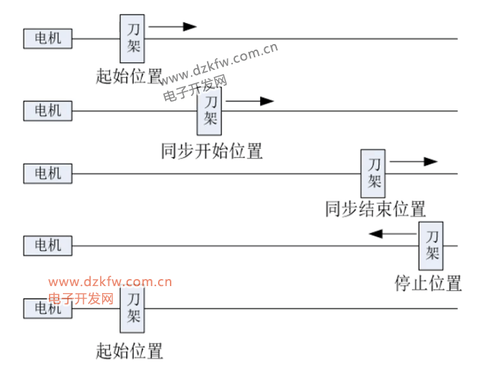
追剪:剪切机构平行于被剪切物体,剪切机构做往复运动,通过改变在非同步区的速度达到改变剪切长度的目的。
3.2 追剪与飞剪区别
共同点:飞剪与追剪都分为非同步区与同步区的概念,要求同步区剪切机构与被剪切机构速度相同。
不同点:飞剪是圆周运动,同步区小,但是可以做高速运动;追剪是往复运动,同步区大,可以完成较为复杂的剪切、冲压等动作。
3.3 应用场景
追剪功能
飞剪功能
四、伺服内置电子凸轮总框架
五、电子凸轮曲线
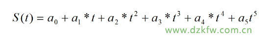
s(t) 是位置对时间的曲线方程,那么
对t的一阶导数曲线方程是:速度曲线
对t的二阶导数曲线方程是:加速度曲线
对t的三阶导数曲线方程是:跃度曲线(加加速度曲线)
三次曲线与五次曲线都可以实现速度的连续,但三次曲线无法实现加速度的连续,五次曲线可以。
曲线连续需要具备两点;
(1)中间过程无阶跃。
(2)起点与终点的结果(纵坐标)可以任意设置
五次曲线的特点如下:
1、速度曲线连续(无速度突变)
2、加速度曲线连续(无力的突变)
3、加加速度表示的是加速度曲线的特性
凸轮曲线的x轴不是时间,而是主轴位置。把S = x - x0 带入(x0为主轴起点)五次曲线。这就是五次曲线和凸轮曲线的数学关系。
相关文章:
电子凸轮的工作原理,电子凸轮“追剪”、“飞剪”示意动画
https://www.dzkfw.com.cn/Article/plc/10698.html
凸轮基础(上)机械凸轮、电子凸轮动画演示
https://www.dzkfw.com.cn/hangye/jixie/10699.html
凸轮控制器的作用是什么 凸轮控制器的工作原理
https://www.dzkfw.com.cn/jichu/gongkong/8591.html


返回顶部
刷新页面
下到页底