电子开发网

电子开发网电子设计 | 电子开发网Rss 2.0 会员中心 会员注册
搜索: 您现在的位置: 电子开发网 >> 基础入门 >> 电路原理 >> 正文

理想变压器特性及公式

作者:佚名    文章来源:本站原创    点击数:    更新时间:2018-10-10

1. 瞬时功率

在任意时刻初级与次级吸收功率之和为零,理想变压器不耗能,也不储能。


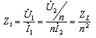
2. 阻抗变换性质

Zi称为次级对初级的折合阻抗

从初级一端看进去的次级阻抗的大小发生了变化,这是理想变压器的阻抗变换特性。理想变压器只改变阻抗大小,不该变其性质。

Tags:理想变压器,理想变压器特性,公式  
责任编辑:admin
请文明参与讨论,禁止漫骂攻击,不要恶意评论、违禁词语。 昵称:
1分 2分 3分 4分 5分

还可以输入 200 个字
[ 查看全部 ] 网友评论
关于我们 - 联系我们 - 广告服务 - 友情链接 - 网站地图 - 版权声明 - 在线帮助 - 文章列表
返回顶部
刷新页面
下到页底
晶体管查询