电子开发网

电子开发网电子设计 | 电子开发网Rss 2.0 会员中心 会员注册
搜索: 您现在的位置: 电子开发网 >> 基础入门 >> 电路原理 >> 正文

理想变压器电路分析实例,理想变压器计算

作者:佚名    文章来源:本站原创    点击数:    更新时间:2018-10-10
理想变压器电路分析实例1

求: 匹配变压器的变比n ,使负载获得最大功率,并求此最大功率。
解:理想变压器只能改变阻抗大小, 所以只能达到模匹配。




理想变压器电路分析实例2

回路法分析理想变压器电路。
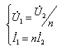
列回路方程时需要设变压器初次级电压变量, 这样多出两个变量,所以应补充理想变压器的伏安特性(注意参考方向)。
回路方程为

补充方程为

五个变量,五个方程,可求解。

Tags:理想变压器电路,理想变压器,公式  
责任编辑:admin
  • 上一个文章:
  • 下一个文章:
  • 请文明参与讨论,禁止漫骂攻击,不要恶意评论、违禁词语。 昵称:
    1分 2分 3分 4分 5分

    还可以输入 200 个字
    [ 查看全部 ] 网友评论
    关于我们 - 联系我们 - 广告服务 - 友情链接 - 网站地图 - 版权声明 - 在线帮助 - 文章列表
    返回顶部
    刷新页面
    下到页底
    晶体管查询