
图1
理想变压器在正弦稳态电路中,还表现出有变换阻抗的特性,如图1所示理想变压器,次级接负载阻抗ZL,由设出的电压、电流参考方向及同名端位置,可得理想变压器在正弦电路里相量形式为
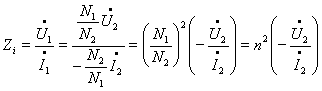
由ab端看,输入阻抗为
因负载ZL上电压、电流为非关联参考方向,将
代入上式,
即得
上式表明,当次级接阻抗ZL,对初级来说,相当于在初级接一个值为n2ZL的阻抗,即理想变压器有变换阻抗的作用。
习惯上把ZL称为次级对初级的折合阻抗。实际应用中,一定的电阻负载RL接在变压器次级,在变压器初级相当于接(N1/N2)2RL的电阻。如果改变n=N1/N2,输入电阻n2RL也改变,所以可利用改变变压器匝比来改变输入电阻,实现与电源匹配,使负载获得最大功率。 由以上介绍可知,理想变压器有3个主要性能,即变压、变流、变阻抗。理想变压器的变压关系适用于一切变动的电压、电流情况。


返回顶部
刷新页面
下到页底