电子开发网

电子开发网电子设计 | 电子开发网Rss 2.0 会员中心 会员注册
搜索: 您现在的位置: 电子开发网 >> 基础入门 >> 电路原理 >> 正文

实际耦合电感线圈与理想变压器

作者:佚名    文章来源:本站原创    点击数:    更新时间:2018-10-10

理想变压器是实际变压器的理想情况。实际电感线圈实现的变压器到理想变压器的近似过程可以用下图来说明。 
实际耦合电感线圈与理想变压器的关系 
这个近似过程说明如下。
1. 假定实际电感线圈没有损耗,可以用互感元件作为其模型。
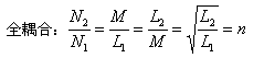
2. 如果互感的耦合系数k=1,为全耦合,则实际两个电感线圈的磁通全部相互交链,总量相同。

φ11= φ21, φ22= φ12
总磁通 Φ=φ11+ φ22,
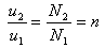
两端口电压之比是磁链之比,此时就是两个线圈的圈数或匝数之比。

n=变比=匝比。又因为

将φ11= φ21,φ22= φ12带入上式




3. 当电感线圈的电感量很大时,由




4. 实际中,若线圈磁芯导磁率高,匝数多,可近似为理想变压器。

Tags:理想变压器,耦合电感线圈,电感线圈  
责任编辑:admin
  • 上一个文章:
  • 下一个文章:
  • 请文明参与讨论,禁止漫骂攻击,不要恶意评论、违禁词语。 昵称:
    1分 2分 3分 4分 5分

    还可以输入 200 个字
    [ 查看全部 ] 网友评论
    关于我们 - 联系我们 - 广告服务 - 友情链接 - 网站地图 - 版权声明 - 在线帮助 - 文章列表
    返回顶部
    刷新页面
    下到页底
    晶体管查询