电子开发网

电子开发网电子设计 | 电子开发网Rss 2.0 会员中心 会员注册
搜索: 您现在的位置: 电子开发网 >> 基础入门 >> 电磁学 >> 正文

磁路和磁路定律

作者:佚名    文章来源:本站原创    点击数:    更新时间:2019-10-19

   一、磁路的基本概念
     磁路:主磁通所经过的闭合路径。线圈通入电流后,产生磁通,分主磁通和漏磁通。
   二、安培环路定律(全电流律):
     磁场中任何闭合回路磁场强度的线积分,等于通过这个闭合路径内电流的代数和。

     电流方向和磁场强度的方向符合右手定则的,电流取正;否则取负。
     在无分支的均匀磁路(磁路的材料和截面积相同,各处的磁场强度相等)中,安培环路定律可写成:

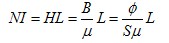
   三、磁路的欧姆定律

Tags:磁路,磁路定律,电磁学  
责任编辑:admin
  • 上一个文章:
  • 下一个文章:
  • 请文明参与讨论,禁止漫骂攻击,不要恶意评论、违禁词语。 昵称:
    1分 2分 3分 4分 5分

    还可以输入 200 个字
    [ 查看全部 ] 网友评论
    关于我们 - 联系我们 - 广告服务 - 友情链接 - 网站地图 - 版权声明 - 在线帮助 - 文章列表
    返回顶部
    刷新页面
    下到页底
    晶体管查询