电子开发网

电子开发网电子设计 | 电子开发网Rss 2.0 会员中心 会员注册
搜索: 您现在的位置: 电子开发网 >> 基础入门 >> 电磁学 >> 正文

磁感应强度叠加原理,毕—萨定律

作者:佚名    文章来源:本站原创    点击数:    更新时间:2018-10-07
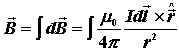
   实验表明,磁场和电场一样也具有叠加的性质,描 述磁场性质的物理量磁感应强度 也遵从叠加原理。即任意载流导线在点的磁感应强度 ,等于所有电流元在点的磁感应强度的矢量和。这就是磁感应强度叠加原理的内容。写成等式,得

    毕—萨定律是在实验基础上经过科学抽象提出来的,它不能用实验直接验证。但是,由毕 —萨定律出发计算出的磁感应强度都与实验结果相符,从而间接地证明了定律的正确性。

Tags:磁感应强度叠加原理,磁感应强度,电磁学  
责任编辑:admin
  • 上一个文章:
  • 下一个文章:
  • 请文明参与讨论,禁止漫骂攻击,不要恶意评论、违禁词语。 昵称:
    1分 2分 3分 4分 5分

    还可以输入 200 个字
    [ 查看全部 ] 网友评论
    关于我们 - 联系我们 - 广告服务 - 友情链接 - 网站地图 - 版权声明 - 在线帮助 - 文章列表
    返回顶部
    刷新页面
    下到页底
    晶体管查询