设初始时线圈的法线方向
![]() |
![]() |
的方向垂直向外。同样可得
边所受安培力的大小为
由于
边中的电流方向与
边相反,所以
的方向与
相反。矩形线圈
边所受的安培力的大小相等,方向相反,在同一直线上,因此这两个力互相抵消,不影响整个线圈的状态。而作用在
两边上的力
和
虽然大小相等,方向相反,但不在同一直线上,这两个力不能抵消,它们对
轴产生力矩
,使线圈绕
轴转动。这个力矩的大小为
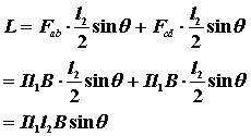
![]() |
![]() |
式中
为线圈平面的面积。令
,则
![]()
这个力矩可以用矢量式表示。已知线圈平面的单位法线矢量
与
的夹角为
,即有
![]()
所以
或
力矩
的方向沿
轴向上。上式中的
整体作为一个矢量,在讨论磁场对线圈的作用或平面线圈对外产生磁场时,反映线圈本身的磁学性质,我们将它定义为线圈回路的磁矩,用
表示,即
力矩的矢量式可以写成![]()
上式虽然是从单匝的载流矩形线圈导出的,但这个结论对任意形状的单匝载流线圈都适用。当线圈匝数为
匝时,线圈回路的磁矩为
但力矩的公式不变。总之,载流线圈在均匀磁场中所受的力矩,总是使线圈回路的磁矩
转向外磁场
的方向。直流电动机和电流计都是根据载流线圈在磁场中受力矩作用而发生转动的原理制成的。






返回顶部
刷新页面
下到页底