对于稳恒电流,安培环路定理可写为
![]()
即磁场强度矢量沿任意闭合路径的线积分等于该闭合回路所包围的传导电流的总和。由于传导电流的连续性,在以曲线
为边线的任意两个曲面 穿过的电流I相等。若把安培环路定理应用于含有电容器的非稳恒电路中,有
对
面 ![]()
对
面
在穿过以曲线
为边线的任意两个曲面
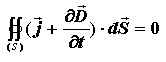
的电流不相等。说明在非稳恒情况下,安培环路定理原来的形式已不再适用,必须加以修改。麦克斯韦根据电场与磁场的相似性,推广了安培环路定理,提出了位移电流假说,解决了上述矛盾。
2、位移电流假说
在非稳恒条件下,根据电荷守恒定律,单位时间内由
面流出的电量应等于
面内的电量减少,即
![]()

由介质中的高斯定理
![]()
得
即
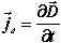
式中
为传导电流密度,麦克斯韦将
定义为位移电流密度,用
表示,即
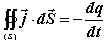
可见,位移电流就是变化的电场。而![]()
上式左边表示流入闭合面的传导电流,右边表示流出闭合面的位移电流。且
![]()


返回顶部
刷新页面
下到页底