
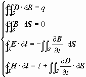
这是1873年前后,麦克斯韦提出的表述电磁场普遍规律的四个方程。
其中:(1)描述了电场的性质。在一般情况下,电场可以是库仑电场也可以是变化磁场激发的感应电场,而感应电场是涡旋场,它的电位移线是闭合的,对封闭曲面的通量无贡献。
(2)描述了磁场的性质。磁场可以由传导电流激发,也可以由变化电场的位移电流所激发,它们的磁场都是涡旋场,磁感应线都是闭合线,对封闭曲面的通量无贡献。
(3)描述了变化的磁场激发电场的规律。
(4)描述了变化的电场激发磁场的规律。
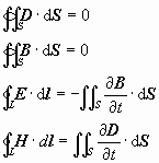
变化场与稳恒场的关系:当

在没有场源的自由空间,即q=0, I=0,方程组就成为如下形式:

麦克斯韦方程组的积分形式反映了空间某区域的电磁场量(D、E、B、H)和场源(电荷q、电流I)之间的关系。


返回顶部
刷新页面
下到页底