电子开发网

电子开发网电子设计 | 电子开发网Rss 2.0 会员中心 会员注册
搜索: 您现在的位置: 电子开发网 >> 基础入门 >> 电磁学 >> 正文

电磁力定律

作者:佚名    文章来源:本站原创    点击数:    更新时间:2018-09-24

  1.电磁力定律

  磁场对电流的作用是磁场的基本特征之一。实验表明,将长度为l的导体置于磁场B中,通入电流i后,导体会受到力的作用,称为电磁力。其计算公式为

F=ΣdF=iΣdl×B          (1)

  特别地,对于长直载流导体,若磁场与之垂直,则计算电磁力大小的公式可简化为

F=Bli               (2)

  这就是通常所说的电磁力定律,也叫毕奥萨伐电磁力定律。式中电磁力F、磁场B和载流导体l的关系由左手定则(又称电动机定则)确定。

  显然,当磁场与载流导体相互垂直时,由式(2)计算的电磁力有最大值。普通电机中,通常沿轴线方向,而B在径向方向,正是出于这种考虑。这种考虑与产生最大感应电动势的基本设计准则完全一致,实际上隐含了电机的可逆性原理。

  由左手定则可知,电磁力作用在转子的切向方向,因而就会在转子上产生转矩。

  2.电磁转矩

  由电磁力产生的转矩称为电磁转矩。设转子半径为r,单根导体产生的电磁转矩就是

             (3)

  对匝数为N的线圈,仿运动电动势分析过程,设线圈两侧边所在处的磁场分别为B1和B2,则有

         (4)

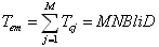
  同理,若希望获得最大电磁转矩,B2=-B1是期望的。也就是说,线圈两侧边处的磁场大小恒相等、极性恒相反也是产生最大电磁转矩的需要。对于一台沿圆周均匀布置线圈的电机来说,这种需要进而就上升为要求气隙磁场尽可能均匀,即B的大小处处都比较接近。这样,电机的最大可能电磁转矩就是

       (5)

  式中,M为总线圈个数,D为转子直径。

  在电动机里,电磁转矩是驱使电机旋转的原动力,即电磁转矩是驱动性质的转矩,在电磁转矩作用下,电能转换为机械能。在发电机里,可以证明,电磁转矩是制动性质的转矩,即电磁转矩的方向与拖动发电机的原动机的驱动转矩的方向相反,原动机的驱动转矩克服发电机内制动性质的电磁转矩而作功,机械能转换为电能。

  电磁转矩还可以用功率的关系求得。设P为电机的电磁功率,?为电机气隙磁场旋转角速度,则有

              (6)

  式中,P可为输入电磁功率,也可为输出电磁功率;相应地,电磁转矩Tem也就分别有输入、输出之分。

Tags:电磁力定律,电磁学,电磁力  
责任编辑:admin
  • 上一个文章:
  • 下一个文章:
  • 请文明参与讨论,禁止漫骂攻击,不要恶意评论、违禁词语。 昵称:
    1分 2分 3分 4分 5分

    还可以输入 200 个字
    [ 查看全部 ] 网友评论
    关于我们 - 联系我们 - 广告服务 - 友情链接 - 网站地图 - 版权声明 - 在线帮助 - 文章列表
    返回顶部
    刷新页面
    下到页底
    晶体管查询