如:"十下五百上二,二五三五四三界,七零九五两倍半,穿管温度八九折,铜线升级算,裸线加一半。"
电缆
还有:
"二点五下乘以九,往上减一顺号走。
三十五乘三点五,双双成组减点五。
条件有变加折算,高温九折铜升级。
穿管根数二三四,八七六折满载流。"
电缆
对于这两个口诀的含义想必电工朋友都不陌生,不明白的朋友可以网上搜索一下,这里不再做解释。
从这两个口诀可以看出一个问题,就是截面积越粗的电缆,每平方的载流量越小。对于这个原因,很多人会联想到电流的"集肤效应"。
集肤效应:当导体中有交流电或者交变电磁场时,导体内部的电流分布不均匀,电流集中在导体的"皮肤"部分,也就是说电流集中在导体外表的薄层,越靠近导体表面,电流密度越大,导线内部实际上电流较小。结果使导体的电阻增加,使它的损耗功率也增加。这一现象称为集肤效应。
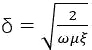
对于集肤效应的深度可以通过公式计算:
ξ——导体电导率,且ξ=1/ρ,ρ为导体电阻率
μ——导体材料的磁导率
δ——集肤深度
ω——角频率,且ω=2πf,f为电流频率
集肤效应和交流电的频率有关,频率越高,集肤效应越显著。所以在高频电路中影响比较大,对于50HZ工频电,集肤效应可以忽略不计。但对于低频率特大电流,也要考虑集肤效应的影响。
因此,上述问题,平时工作中遇到的电缆截面积越大,每平方载流量越小的主要原因是大电流会造成较大发热量,不利于散热的因素。


返回顶部
刷新页面
下到页底