电子开发网

电子开发网电子设计 | 电子开发网Rss 2.0 会员中心 会员注册
搜索: 您现在的位置: 电子开发网 >> 基础入门 >> 电磁学 >> 正文

磁场对载流导线的作用

作者:佚名    文章来源:本站原创    点击数:    更新时间:2019-08-05
一 安培力
1.安培力:,写成矢量式:
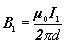
此式既是一个电流元Idl在外磁场B中受力的基本规律,又是定义磁感应强度B的依据。

二 平行无限长直导线间的相互作用

          
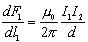
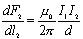
如图:设两导线的垂直距离为d,其中电流强度分别为I1,I2,电流方向相同,在导线CD上任取电流元I2dl2,其受力dF2 =B1I2dl2 又因为 ,且在导线CD中每一电流元受力方向相同,故其每单位长度所受力为:
 方向:垂直CD指向AB。
同理在导线AB中每单位长度所受力为:方向: 垂直AB指向CD,故两导线相互吸引。
同样可证明当两导线电流方向相反时则两导线相互相斥。

三 电流电位的规定
在真空中有两根平行的长直导线,它们之间相距1m,两导线上电流的流向相同、大小相等。当两导线每单位长度上的吸引力为 时,导线中流有的电流定义为1A。

四 矩形载流线圈在均匀磁场中所受的力矩
在均匀磁场 中,有一刚性矩形载流线圈abcd,它的边长分别为l1和l2,电流为I。设 的方向(电流绕行方向的右手螺旋方向)与B方向之间的夹角为
       磁场对载流导线的作用
对于导线ad段和bc段,作用力的大小相等、方向相反,并且在同一直线上,所以它们的合力及合力矩都为零。而导线ab段和cd段所受磁场作用力的大小则分别为:
这两个力大小相等、方向相反,但不在同一直线上,因此磁场作用在线圈上的磁力矩的大小为:
    
考虑线圈的磁矩 ,则上式矢量表示为:
如果线圈有N匝,那么其所受的磁力矩应为:
考虑下述几种特殊情况:
(1)当时,线圈平面与B垂直,,此时线圈处于稳定平衡状态;
(2)当时,线圈平面与B平行,
(3)当时,线圈平面与B垂直,但载流线圈的方向与B的方向相反,M=0,此时线圈是处于不稳定平衡状态。
            
          不稳定平衡状态         稳定平衡状态

总之,磁场对载流线圈作用的磁力矩,总是使磁矩M转到磁感强度B的方向上。
Tags:磁场,载流导线,电磁学  
责任编辑:admin
  • 上一个文章:
  • 下一个文章: 没有了
  • 请文明参与讨论,禁止漫骂攻击,不要恶意评论、违禁词语。 昵称:
    1分 2分 3分 4分 5分

    还可以输入 200 个字
    [ 查看全部 ] 网友评论
    关于我们 - 联系我们 - 广告服务 - 友情链接 - 网站地图 - 版权声明 - 在线帮助 - 文章列表
    返回顶部
    刷新页面
    下到页底
    晶体管查询