一、磁场
1.电流或运动电荷之间相互作用的磁力是通过磁场而作用的。故磁力称为磁场力。
2.磁场基本性质:它对于任何置于其中的其它磁极或电流施加作用力。
3.磁铁和磁铁、磁铁和电流、电流和电流的关系可以通过以下图表来表示

二、安培定律
安培定律:研究电流之间的相互作用规律,是稳恒磁场的基本规律。这个规律是安培通过几个精心设计的实验得到的。电流元之间的相互作用规律只能间接的从闭合载流回路的实验中倒推出来,这里直接给出结论。

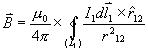
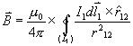
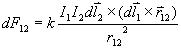
(2) dF12的大小还与两电流元的取向有关。为了叙述方便,令r12代表从电流元1到电流元2的矢径,电流元的线元也用矢量dI1和dI2来表示,它们指向各自的电流方向(如上图)。
当电流元共面情形时(如图):

即:
此式即为安培定律的完整表达式。
三、磁感(应)强度
1.磁场:电流或运动电荷之间相互作用的磁力是通过磁场而作用的。故磁力称为磁场力。
2.磁感(应)强度:
根据安培定律:
整个回路L1对电流元I2dl2的作用力:
又:
所以:

也可写成:
,称为毕奥-萨伐尔定律。
Tags:磁场,磁感强度,电磁学
责任编辑:admin相关文章列表
磁路及其基本定律磁路和磁路定律
电磁波的波动方程
磁路和磁性物质的磁性能
什么是磁场
电磁感应定律_法拉第电磁感应定律_楞次定律_右手定则
什么是无线输电技术?
高斯定理的应用
磁场对载流导线的作用
洛伦兹力
电磁骚扰传播或耦合机理
静电屏蔽、静磁屏蔽和高频电磁场屏蔽
热电现象,温差电效应:塞贝克效应、帕尔贴效应、汤姆逊效应
带电粒子在静电场中的偏转
带电粒子在匀强磁场中的运动,洛伦兹力
奥斯特实验 电流与磁场的实验
电势差
电势能
磁场对电流的作用(电磁力公式及方向确定法左手定则)讲解
【实验方法】测量磁感应强度的方法有哪些_测量磁感应强度九种方法
电缆截面积越大,每平方载流量越小,真的和集肤效应有关吗
什么是集肤效应_电流的集肤效应
动生电动势的产生
图文详解 电磁学发展史
电磁波如何产生,电磁波与磁场的关系
安培环路定律
什么是霍尔效应?霍尔效应与磁场有关
磁感应线(磁力线)
磁感应强度叠加原理,毕—萨定律
安培力的功
[ 查看全部 ] 网友评论
推荐文章
最新推荐
热门文章


返回顶部
刷新页面
下到页底