阻抗匹配电路
- 如果存在阻抗,那么在阻抗上就会产生功率消耗,所以不做阻抗匹配其结果就会使放大器的输出功率发生无用的浪费。
- 把电容或电感与负载串联起来,即可增加或减少负载的阻抗值
简单的应用
对于给定的负载电阻R,我们将找到一个在频率ω下与驱动电阻R’匹配的电路。并设计L匹配电路(如下图所示)。
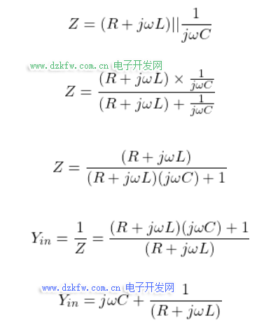
考虑到电阻(R)和电感器(L)是串联的。这种组合与电容器(C)并行。因此,阻抗为:
现在
ω = ω0时,我们把输入阻抗Yin,设为R ’
这里,Q是Q因子,对于系列L和R网络,Q因子等于,
设计此循环的步骤,求出想要的参数
步骤-1对于给定的 R 和 R’,从 (2) 中找到所需的 Q。
步骤-2 对于给定的 ω0,从 (3) 找到所需的。
步骤-3 从(1),找到所需的Y给出选定的谐振频率。


返回顶部
刷新页面
下到页底