什么是网孔分析法
网孔分析法是电路基本分析方法的一种,以网孔电流为待求变量,按KVL建立方程求解电路的方法。
根据基尔霍夫定律:可以提供独立的KVL方程的回路数为b-n+1个,网孔只是其中的一组。
网孔电流:沿每个网孔边界自行流动的闭合的假想电流。 一般对于M个网孔,自电阻×本网孔电流 + ∑(±)互电阻×相邻。
网孔电流 + ∑本网孔中电压升。
网孔分析法的分析方法
1、选网孔电流为变量,并标出变量方向(常设为顺时针方向)
2、按照规律,采用观察法分析网孔
a、网孔中电流源视为开路,电压源视为短路。
b、以KVL为基础,列出网孔内的自导与互导的电压方程
3、解网孔电流
4、由网孔电流计算其它待求量
注意:电流源及受控源的处理

网孔分析法的一般步骤:
(1)选定一组网孔,标明网孔电流及其参考方向;
(2)以网孔电流的方向为网孔的巡行方向,列写各网孔KVL方程;
(3)求解上述方程,得各网孔电流;
(4)原电路韭公共支路的电流就等于网孔电流。
原电路公共支路的电流等于网孔电流的代数和。
网孔分析方程
【网孔电流】根据电流的连续性,可以假定一个电流在指定的网孔中流动,这种电流称为网孔电流,对于电路中每一个结点,网孔电流流入一次又流出一次,所以当以网孔电流作为电路待求变量时,电路的KCL方程自动满足,只需列写b-n+1个网孔的KVL 方程。
【网孔分析法】以网孔电流为待求变量,按KVL建立方程求解电路的方法称为网孔分析法。其网孔电流方程也称为网孔方程。
【例3-2-1】图3-2-1所示电路列写网孔方程。

解:假定网孔电流
分别在网孔1、2、3中流动,网孔电流的参考方向如图3-2-1所示。
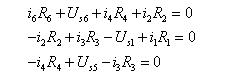
以支路电流为变量,列写各网孔的KVL方程为

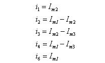
为得到以网孔电流为未知变量的电路方程,用网孔电流表示各支路电流,即有

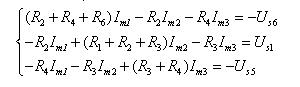
将上述各式代入KVL方程,可得网孔电流方程

即为该电路的网孔方程,显然,由此三个方程,可求解网孔电流。
网孔电流法的一般步骤
① 选网孔为独立回路,并确定其绕行方向;
② 以网孔电流为未知量,列写(b-(n-1))KVL方程(直接列出标准形式);
③ 求解上述方程,得到 l 个网孔电流;
④ 求各支路电流,再根据题目要求求解其它电路参数;
网孔电流法的特点:仅适用于平面电路。

网孔分析法简单例题
1、网孔分析法求解电流I

2、网孔分析法求解各支路电流



返回顶部
刷新页面
下到页底