什么叫触发器
施密特触发电路( 简称)是一种波形整形电路,当任何波形的信号进入电路时,输出在正、负饱和之间跳动,产生方波或脉波输出。不同于比较器,施密特触发电路有两个临界电压且形成一个滞后区,可以防止在滞后范围内之噪声干扰电路的正常工作。如遥控接收线路,传感器输入电路都会用到它整形。
施密特触发器
一般比较器只有一个作比较的临界电压,若输入端有噪声来回多次穿越临界电压时,输出端即受到干扰,其正负状态产生不正常转换,如图1所示。

图1 (a)反相比较器 (b)输入输出波形
施密特触发器如图2 所示,其输出电压经由R1 、R2 分压后送回到运算放大器的非反相输入端形成正反馈。因为正反馈会产生滞后(Hysteresis)现象,所以只要噪声的大小在两个临界电压(上临界电压及下临界电压)形成的滞后电压范围内,即可避免噪声误触发电路,如表1 所示

图2 (a)反相斯密特触发器 (b)输入输出波形
表1施密特触发器的滞后特性

非反相施密特电路

图4 非反相史密特触发器
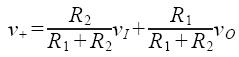
非反相施密特电路的输入信号与反馈信号均接至非反相输入端,如图4所示。
由重迭定理可得非反相端电压

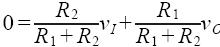
反相输入端接地: ν- = 0,当ν+ = ν- = 0 时的输入电压即为临界电压。
将ν+ = 0 代入上式得![]()
整理后得临界电压
当νo 为负饱和状态时,可得上临界电压

当νo为正饱和状态时,可得下临界电压,

VTH与VTL之间的电压差为滞后电压:


图5 (a)计算机仿真图 (b)转换特性曲线
输入、输出波形与转换特性曲线如图5所示。
当输入信号下降到小于下临界电压VTL 时,输出信号由正状态转变为
负状态:νo 《 VTL →νo = - Vsat
当输入信号上升到大于上临界电压VTH 时,输出信号由负状态转变为
正状态: νo > VTL →νo = + Vsat
输出信号在正、负两状态之间转变,输出波形为方波。


返回顶部
刷新页面
下到页底