|
一、磁场的基本物理量 |
|
2.磁通 |
|
|
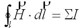
| 4.磁导率 表征各种材料导磁能力的物理量一般材料的磁导率 和真空中的磁导率之比,称为这种材料的相对磁导率。 二、磁场的基本定律 1.安培环路定律 |
![]() |
|
计算电流代数和时,与绕行方向符合右手螺旋定则的电流取正号,反之取负号。若闭合回路上各点的磁场强度相等且其方向与闭合回路的切线方向一致,则: |
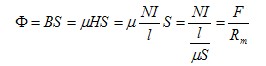
| 2.磁路欧姆定律 |
![]() |
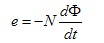
| 因铁磁物质的磁阻Rm不是常数,它会随励磁电流I的改变而改变,因而通常不能用磁路的欧姆定律直接计算,但可以用于定性分析很多磁路问题。 3.电磁感应定律 |




返回顶部
刷新页面
下到页底