电子开发网

电子开发网电子设计 | 电子开发网Rss 2.0 会员中心 会员注册
搜索: 您现在的位置: 电子开发网 >> 基础入门 >> 电磁学 >> 正文

磁场高斯定理的证明

作者:佚名    文章来源:本站原创    点击数:    更新时间:2020-03-22
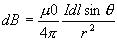
根据闭奥萨伐尔定律,单个电流元IdL产生的磁感应线是以 dL方向韦轴线的圆,如图,圆周上元磁场的数值处处相等:

        磁场高斯定理的证明

在磁感应线穿入处取一面元dS1,穿出处取另一面元dS2,IdL产生的磁场通过两面元的磁感应通量分别为:
 

由于磁感应管呈严格的圆环状,其正截面处处相等,故
所以,即 。所以高斯定理对单个电流元成立。

根据磁场叠加原理,任意载流回路产生的总磁场B是各电流元产生的元磁场dB的矢量和, 从而通过某一面元dS的总磁通量是各电流元产生元磁通的代数和。至此,磁场的"高斯定理"得到了完全证明。
Tags:磁场,高斯定理  
责任编辑:admin
  • 上一个文章:
  • 下一个文章:
  • 请文明参与讨论,禁止漫骂攻击,不要恶意评论、违禁词语。 昵称:
    1分 2分 3分 4分 5分

    还可以输入 200 个字
    [ 查看全部 ] 网友评论
    关于我们 - 联系我们 - 广告服务 - 友情链接 - 网站地图 - 版权声明 - 在线帮助 - 文章列表
    返回顶部
    刷新页面
    下到页底
    晶体管查询