设圆柱形导体的半径为
⑴ 在圆柱体外任取一点
![]()
所以![]()
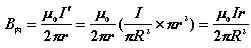
⑵ 在圆柱体内任取一点
,
与轴线之间的距离为
(
)。以轴线上一点
为圆心、
为半径过
点作一闭合环路
,绕行方向如图所示。因为圆柱体内的电流只有一部分
通过环路
。由安培环路定理,得
![]()
圆柱体截面的电流密度为
,环路
所包围的横截面面积为
,那么![]()
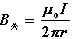
2、无限长载流螺线管内外的磁场
设无限长载流螺线管通有电流
,单位长度上绕有
匝线圈。应用安培环路定理求得螺线管内外任一点的磁感应强度为![]()
![]()
由此可见,螺线管内任一点的磁感应强度均与轴线上相同,表明管内是均匀磁场;螺线管外磁感应强度处处为零,磁场集中在管内。
3、载流螺绕环内外的磁场
螺绕环就是绕在圆环上的螺线形线圈。设一螺绕环的平均半径为
,线圈的总匝数为
,通有电流
,并且环上的线圈绕得很密。由电流的对称性可知,在与螺绕环共轴的圆周上,磁感应强度的大小相等,方向沿圆周的切线方向。
⑴ 在螺绕环内任取一点
,以
为圆心、
为半径过
点作一闭合环路
,绕行方向如图所示。由安培环路定理,得
![]()
![]()
式中
是螺绕环单位长度内的匝数。
⑵ 在螺绕环外的空间作一圆形闭合环路 ,绕行方向如图所示。由安培环路定理,得并使它与螺绕环共轴,则穿过它的总电流为零,因而
![]()
所以,对于绕得很密的细螺绕环来说,它的磁场几乎全部集中在螺绕环的内部,外部的磁场很弱。环内的磁感应线是与螺绕环共轴的圆,在同一条磁感应线上,
的大小处处相等,方向遵从右手定则。如果螺绕环的半径趋于无穷大,而单位长度的匝数
和线圈的半径不变,则环内的磁场是均匀的。从物理实质上来说,这样的螺绕环就是无限长螺线管。这就证明了无限长螺线管内部磁场是均匀的,而外部磁场为零。


返回顶部
刷新页面
下到页底