小功率反激电源是市场上最为成熟的电源之一,在电源行业中占据相当大的比重。现今讲解开关电源电磁兼容的文章较多,要考虑到市场化,小功率反激只用一级EMI滤波,但是无散热片,还要考虑可生产性,这就与单纯的电磁兼容介绍有很大区别,本文从工程和生产的角度出发阐述小功率反激电源的EMI抑制方法。
1 抑制措施
电磁干扰(Electro Magnetic Interference),有传导干扰和辐射干扰两种。传导干扰是指通过导电介质把一个电网络上的信号耦合到另一个电网络。辐射干扰是指干扰源通过空间把其信号耦合到另一个电网络。差模干扰和共模干扰是主要的传导干扰形态,而功率变换器的传导干扰以共模干扰为主。差模噪声主要由大的di/dt与杂散电容引起;共模噪声则主要由较高的dv/dt与杂散电感相互作用而产生的高频振荡引起。
形成电磁干扰的条件有三:A:向外发送电磁干扰的源—噪声源 B:传递电磁干扰的途径—噪声耦合和辐射 C:承受电磁干扰(对噪声敏感)的客体—受扰设备
1.1 EMI滤波器的选择选用
图1是开关电源常用的一级EMI滤波器的电路。图中的L1为共模扼流圈,Cx、CY1、CY2为安规电容,对于小型开关电源来讲,由于体积的限制,很多时候会将CY1、CY2会省略掉的,甚至连L1也会省去。图中 共模扼流圈L1的两个线圈匝数相等,方向相同,这两个电感对于差模电流和主电流所产生的磁通是方向相反、互相抵消的,因而不起作用;而对于共模干扰信号,两线圈产生的磁通方向相同,有相互加强的作用,每一线圈电感值为单独存在时的两倍,从而得到一个高阻抗,起到良好的抑制作用。共模电感两边感量不相等形成的差模电感L2一起与Cx电容组成一个低通滤波器,用来抑制电源线上存在的差模干扰信号。CY1与CY2的存在是给共模噪声提供旁路,同时与共模电感一起,组成LC低通滤波器。共模噪声的衰减在低频时主要由电感起作用,而在高频时大部分由电容CY1及CY2起作用。同时,在安装与布线时应当注意:滤波器应尽量靠近设备入口处安装, 并且滤波器的输入和输出线必须分开,防止输入端与输出端线路相互耦合,降低滤波特性。滤波器中电容器导线应尽量短,以防止感抗与容抗在某频率上形成谐振。
图1 一级EMI 滤波器电路。
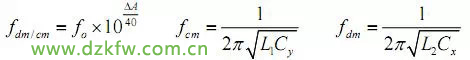
滤波器的抑制作用是用插入损耗来度量的。插入损耗A用分贝(dB)表示,分贝值愈大, 说明抑制噪声干扰的能力愈强,如式(1)所示:
工程设计时通过测量计算出需要设定的插入损耗值,得出转折频率点,然后根据转折频率设计电感电容参数,如式(2):
不过注意,不是所有的滤波器都能使电磁干扰减小,有的还会更严重。因为滤波器会产生谐振,从而产生插入增益。插入增益不仅不会使干扰减小,而且还使干扰增强。这通常发生在滤波器的源阻抗和负载阻抗相差很大时,插入增益的频率在滤波器的截止频率附近。解决插入增益的方法:一个是将谐振频率移动到没有干扰的频率上,另一个使增加滤波器的电阻性损耗(降低Q值)。比如在差模电感上并联电阻,或在差模电容上串联电阻。
1.2 输入与输出滤波网络设计的优化
输入与输出滤波网络主要实现两个功能,第一是能量存储与转换,第二是减小高频谐波与共模干扰。 实际电路等效为电容、等效电感、等效电阻的串联。在高频情况下,大电容的等效寄生参数起主要作用,无法给高频传导噪声提供有效衰减。这时候可以选择 型滤波,将一个大电容和一个小电容并联起来使用,大电容抑制低频干扰、小电容抑制高频干扰。不过,将大容量电容和小容量电容并联起来的方法,会在某个频率上出现旁路效果很差的现象。这是因为在大电容的谐振频率和小电容的谐振频率之间,大电容呈现电感特性(阻抗随频率升高增加),小电容呈现电容特性,实际是一个LC并联网络,这个LC并联网络在会在某个频率上发生并联谐振,导致其阻抗最大,这时电容并联网络实际已经失去旁路作用。如果刚好在这个频率上有较强的干扰,就会出现干扰问题。
1.3 缓冲电路的应用
开关电源的干扰按噪声源种类分为尖峰干扰和谐波干扰两种。输入电流中的高次谐波在电路中采用共模扼流圈来抑制,而对于尖峰干扰,除了在源头上减小漏感,选择快恢复二极管来减小尖峰外,最常见的就是开关管加RCD箝位电路与输出二极管加RC吸收电路。RCD箝位电路用于抑止由于变压器初级漏感在开关管关断过程中产生的电压尖峰。RC吸收电路用于抑制二极管关断时变压器次级漏感与二极管反向恢复引起的电压尖峰。不过这些缓冲电路是通过消耗功率来达到抑制目的,因此需要根据实际需求选择使用。
1.4 尽量缩小高频环路面积
一般小功率反激电源有四部分需要注意环路面积:
A:初级开关环路(MOS管,变压器,输入电容)
B:次级开关环路(变压器,输出二极管,输出电容)
C:RCD环路(R,C,D,MOS管,变压器)
D:辅助电源环路(变压器,二极管,电容)
因为差模电流流过导线环路时,将引起差模辐射如式(3)表示:
同时,由于接地电路中存在电压降,某些部位具有高电位的共模电压,当外接电缆与这些部位连接时,就会在共模电压激励下产生共模电流,从而产生共模辐射干扰如式(4)表示:
所以,在高频环路上,在满足可靠性的情况下,高频电流回路越小越好,以减小引起差模辐射的环路面积。并且环路的导线应当尽量地短,以减小引起共模辐射的环路导线长度。
1.5 优化地线设计
由于地线存在阻抗,地线电流流过地线时,就会在地线上产生电压。细而长的导线呈现高电感,如式(5),其阻抗随频率的增加而增加:
在设计小功率电源电路时,往往运用单点接地与浮地,将地线作为所有电路的公共地线,因此地线上的电流成份很多,电压也很杂乱,这时候就需要注意相对减小高频回路地线的长度,以减小共模噪声。
1.6 屏蔽的应用
在小功率反激电源中,变压器是一个很大的噪声源。它作为噪声产生源:
A:功率变压器原次边存在的漏感,漏电感将产生电磁辐射干扰。
B:功率变压器线圈绕组流过高频脉冲电流,在周围形成高频电磁场,产生辐射干扰。
C:变压器漏感的存在使得在开关管开关瞬间,形成电压尖峰,产生电磁干扰。
作为传播途径:隔离变压器初次级之间存在寄生电容,高频干扰信号通过寄生电容耦合到次边。 对于变压器的漏感,可以通过三明治绕法等改变工艺结构改善,也可以通过改变变压器性能设计来减小,对于变压器绕组的分布电容可以通过改进绕制工艺和结构、增加绕组之间的绝缘、采用屏蔽等方法来减小绕组间的分布电容。从工程角度来说,特别是对于某些已经面世而为了提高市场竞争力选择提高EMI要求作为突破口的产品来说,改变变压器性能设计肯定影响重大,而改变工艺结构也影响到生产甚至性能。屏蔽是生产延续性最好与总体影响性最小的一种方法。
屏蔽对于干扰的抑制作用用屏蔽效能来衡量,屏蔽效能A主要由吸收损耗与反射损耗来表示,总损耗越大,屏蔽体对电磁干扰的抑制能力越强,如式(6)表示。
从吸收损耗的公式可以得出以下结论:
屏蔽材料越厚,吸收损耗越大;屏蔽材料的磁导率越高,吸收损耗越大;屏蔽材料的电导率越高,吸收损耗越大;被屏蔽电磁波的频率越高,吸收损耗越大。
干扰源为电场辐射源时反射损耗,如式(7):(近场波,高阻抗场)
干扰源为磁场辐射源时反射损耗,如式(8):(近场波,低阻抗场)
干扰源为电场源或者磁场源时反射损耗,如式(9):(远场波)
从反射损耗的公式可以得出以下结论:
屏蔽材料的磁导率越低,吸收损耗越大;屏蔽材料的电导率越高,吸收损耗越大。
从以上我们可以得出结论:
A:低频:吸收损耗很小,屏蔽效能主要决于反射损耗。而反射损耗与电磁波的性质关系很大,电场波的屏蔽效能远高于磁场波。
B:高频:随着频率升高,电场波的反射损耗降低,磁场波的反射损耗增加,吸收损耗增加,当频率高到一定程度时,屏蔽效能主要由吸收损耗决定。
C:距离的影响:距离电场源越近,则反射损耗越大。对于磁场源,则正好相反。要获得尽量高的屏蔽效能,屏蔽体应尽量靠近电场辐射源,尽量远离磁场辐射源。
1.7 磁珠的应用
磁珠由铁氧体组成,它把交流信号转化为热能,当导线中流过电流时,它对低频电流几乎没有什么阻抗,但对高频电流会有较大的衰减作用。磁珠抑制能力与它的长度成比例。不过磁珠的运用会提高产品温升,同时降低产品的可生产性,对于高功率密度的小功率电源来说,尽量避免使用。
1.8 减缓驱动
增大MOS管驱动电阻,使得MOS管的开通时间与关断时间增加,使dv/dt值变小。不过这种方式会增加开关管的开关损耗,只有在没有其他有效解决办法时推荐使用。比如MORNSUN公司的LH15XX某型号,在确定不能更改变压器结构与PCB布局情况下,只有增大驱动电阻,牺牲少许的效率来换取辐射干扰达到EN55022 CLASS B指标。
2 案例
图2
图2是采用无锡硅动力(Si-power)SP56XX系列芯片(含抖频,降频和跳频技术)做的小功率模块电源产品(37*23*15mm),功率为5W,开关频率65KHz,通过精心的设计,在没有图1中输入EMI滤波电路和无Y电容的情况下,使产品的传导和辐射指标分别满足class A级和B级的要求,并能满足最新的能源之星V的标准,图3、图4是该产品的EMI测试图(产品通过了UL/CE认证)。由于电路简单,元件少,该系列电源在批量生产时不良率仅为50PPM。
图3 传导干扰
图4 辐射干扰
3 总结
中高功率密度是电源深受人们信赖,小功率反激电源更是如此。不过小功率电源的EMI设计受到体积、热设计、可生产性等方面影响,这就需要设计人员从准备阶段更加注意PCB布局,注重电源的结构设计和输入输出滤波网络设计,优化变压器设计,设计时通过更改输入EMI滤波器参数进行现场调试,调试没效果的特殊情况下通过增加磁珠,改变驱动牺牲其他性能的方式达到传导和辐射指标。


返回顶部
刷新页面
下到页底