三相异步电动机
实现电能与机械能相互转换的电工设备总称为电机。电机是利用电磁感应原理实现电能与机械能的相互转换。把机械能转换成电能的设备称为发电机,而把电能转换成机械能的设备叫做电动机。
在生产上主要用的是交流电动机,特别三相异步电动机,因为它具有结构简单、坚固耐用、运行可靠、价格低廉、维护方便等优点。它被广泛地用来驱动各种金属切削机床、起重机、锻压机、传送带、铸造机械、功率不大的通风机及水泵等。
对于各种电动机我们应该了解下列几个方面的问题:(1)基本构造;(2)工作原理;(3)表示转速与转矩之间关系的机械特性;(4)起动、调速及制动的基本原理和基本方法;(5)应用场合和如何正确使用。
三相异步电动机的结构与工作原理
1.三相异步电动机的构造
三相异步电动机的两个基本组成部分为定子(固定部分)和转子(旋转部分)。此外还有端盖、风扇等附属部分,如图5-1所示。
2).转子
鼠笼式电动机由于构造简单,价格低廉,工作可靠,使用方便,成为了生产上应用得最广泛的一种电动机。
为了保证转子能够自由旋转,在定子与转子之间必须留有一定的空气隙,中小型电动机的空气隙约在0.2~1.0mm之间。
2.三相异步电动机的转动原理
1).基本原理
为了说明三相异步电动机的工作原理,我们做如下演示实验,如图5-2所示。
(1).演示实验:在装有手柄的蹄形磁铁的两极间放置一个闭合导体,当转动手柄带动蹄形磁铁旋转时,将发现导体也跟着旋;若改变磁铁的转向,则导体的转向也跟着改变。
(2).现象解释:当磁铁旋转时,磁铁与闭合的导体发生相对运动,鼠笼式导体切割磁力线而在其内部产生感应电动势和感应电流。感应电流又使导体受到一个电磁力的作用,于是导体就沿磁铁的旋转方向转动起来,这就是异步电动机的基本原理。
转子转动的方向和磁极旋转的方向相同。
(3).结论:欲使异步电动机旋转,必须有旋转的磁场和闭合的转子绕组。
2).旋转磁场
(1).产生
图5-3表示最简单的三相定子绕组AX、BY、CZ,它们在空间按互差1200的规律对称排列。并接成星形与三相电源U、V、W相联。则三相定子绕组便通过三相对称电流:随着电流在定子绕组中通过,在三相定子绕组中就会产生旋转磁场(图5-4)。
当wt=00时,iA=0,AX绕组中无电流;iB为负,BY绕组中的电流从Y流入B1流出;iC为正,CZ绕组中的电流从C流入Z流出;由右手螺旋定则可得合成磁场的方向如图5-4(a)所示。
当wt=1200时,iB=0,BY绕组中无电流;iA为正,AX绕组中的电流从A流入X流出;iC为负,CZ绕组中的电流从Z流入C流出;由右手螺旋定则可得合成磁场的方向如图5-4(b)所示。
当wt=2400时,iC=0,CZ绕组中无电流;iA为负,AX绕组中的电流从X流入A流出;iB为正,BY绕组中的电流从B流入Y流出;由右手螺旋定则可得合成磁场的方向如图5-4(c)所示。
可见,当定子绕组中的电流变化一个周期时,合成磁场也按电流的相序方向在空间旋转一周。随着定子绕组中的三相电流不断地作周期性变化,产生的合成磁场也不断地旋,因此称为旋转磁场。
(2).旋转磁场的方向
旋转磁场的方向是由三相绕组中电流相序决定的,若想改变旋转磁场的方向,只要改变通入定子绕组的电流相序,即将三根电源线中的任意两根对调即可。这时,转子的旋转方向也跟着改变。
3).三相异步电动机的极数与转速
(1).极数(磁极对数p)
三相异步电动机的极数就是旋转磁场的极数。旋转磁场的极数和三相绕组的安排有关。
当每相绕组只有一个线圈,绕组的始端之间相差1200空间角时,产生的旋转磁场具有一对极,即p=1;
当每相绕组为两个线圈串联,绕组的始端之间相差600空间角时,产生的旋转磁场具有两对极,即p=2;
同理,如果要产生三对极,即p=3的旋转磁场,则每相绕组必须有均匀安排在空间的串联的三个线圈,绕组的始端之间相差400(=1200/p)空间角。
极数p与绕组的始端之间的空间角q的关系为:
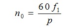
(2).转速n
三相异步电动机旋转磁场的转速n0与电动机磁极对数p有关,它们的关系是:
(5-1)
由(5-1)可知,旋转磁场的转速n0决定于电流频率f1和磁场的极数p。对某一异步电动机而言,f1和p通常是一定的,所以磁场转速n0是个常数。
在我国,工频f1=50Hz,因此对应于不同极对数p的旋转磁场转速n0,见表5-1
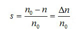
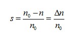
(3).转差率s
电动机转子转动方向与磁场旋转的方向相同,但转子的转速n不可能达到与旋转磁场的转速n0相等,否则转子与旋转磁场之间就没有相对运动,因而磁力线就不切割转子导体,转子电动势、转子电流以及转矩也就都不存在。也就是说旋转磁场与转子之间存在转速差,因此我们把这种电动机称为异步电动机,又因为这种电动机的转动原理是建立在电磁感应基础上的,故又称为感应电动机。
旋转磁场的转速n0常称为同步转速。
转差率s——用来表示转子转速n与磁场转速n0相差的程度的物理量。即:
(5-2)
转差率是异步电动机的一个重要的物理量。
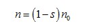
当旋转磁场以同步转速n0开始旋转时,转子则因机械惯性尚未转动,转子的瞬间转速n=0,这时转差率S=1。转子转动起来之后,n>0,(n0-n)差值减小,电动机的转差率S<1。如果转轴上的阻转矩加大,则转子转速n降低,即异步程度加大,才能产生足够大的感受电动势和电流,产生足够大的电磁转矩,这时的转差率S增大。反之,S减小。异步电动机运行时,转速与同步转速一般很接近,转差率很小。在额定工作状态下约为0.015~0.06之间。
根据式(4-2),可以得到电动机的转速常用公式
(5-3)
例 有一台三相异步电动机,其额定转速 n=975r/min,电源频率f=50Hz,求电动机的极数和额定负载时的转差率S。
解:由于电动机的额定转速接近而略小于同步转速,而同步转速对应于不同的极对数有一系列固定的数值。显然,与975r/min最相近的同步转速n0=1000r/min,与此相应的磁极对数p=3。因此,额定负载时的转差率为:
(4).三相异步电动机的定子电路与转子电路
三相异步电动机中的电磁关系同变压器类似,定子绕组相当于变压器的原绕组,转子绕组(一般是短接的)相当于副绕组。给定子绕组接上三相电源电压,则定子中就有三相电流通过,此三相电流产生旋转磁场,其磁力线通过定子和转子铁心而闭合,这个磁场在转子和定子的每相绕组中都要感应出电动势。
总结:
1、三相异步电动机的两个基本组成部分为定子(固定部分)和转子(旋转部分)。
2、欲使异步电动机旋转,必须有旋转的磁场和闭合的转子绕组,并且旋转的磁场和闭合的转子绕组的转速不同,这也是“异步”二字的含义;
3、三相电源流过在空间互差一定角度按一定规律排列的三相绕组时,便会产生旋转磁场;
4、旋转磁场的方向是由三相绕组中电源相序决定的;
5、三相异步电动机旋转磁场的转速n0与电动机磁极对数p有关,它们的关系是:
6、转差率s——用来表示转子转速n与磁场转速n0相差的程度的物理量。即:
转差率是异步电动机的一个重要的物理量,异步电动机运行时,转速与同步转速一般很接近,转差率很小。在额定工作状态下约为0.015~0.06之间。
7、三相异步电动机中的电磁关系同变压器类似,定子绕组相当于变压器的原绕组,转子绕组(一般是短接的)相当于副绕组。


返回顶部
刷新页面
下到页底