信号通常会参杂很多干扰信号,滤波是信号处理中的一个重要前提步骤,滤波电路又称为滤波器,它的作用是尽可能减小脉动的直流电压中的交流成分,保留其直流成分,使输出电压纹波系数降低,波形变得比较平滑。换句话说,凡是可以使信号中特定的频率成分通过,而极大地衰减或抑制其他频率成分的装置或系统都称之为滤波器。
仅由电阻、电容、电感这些无源元件组成的滤波电路称为无源滤波器。如果滤波电路中含有有源元件,如集成运放等,则称为有源滤波器。
而低通滤波器的基本电路特点是,只允许低于截止频率的信号通过。 一阶有源低通滤波电路是最简单滤波电路, 一阶有源低通滤波电路也是组成二阶、高阶有源低通滤波电路的最小单元。
一阶有源低通滤波电路分析:A

因为 Vs1 的周期大于 Vs2 ,所以最后输出将 Vs2 滤去,并将原输入放大,得到V0。
一阶有源低通滤波电路分析:B
见下图1(a)所示电路为一阶有源低通滤波电路。


图1(a) 电路图图1(b) 频幅特性
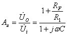
由RC电路可知
(1)
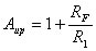
根据同相比例运算电路的运算关系,有
=(1+
)
,故滤波器的电压传递函数为
(2)
令
,即
,上式可变为
(3)
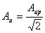
当f=0时,
,其中
为电路的通带放大倍数。
当f=f0时,
。
当f=∞时,
。
其幅频特性如图1(b)所示。
一阶低通Butterworth滤波电路
下图a和b是用运算放大器设计的两种一阶Butterworth滤波电路的电路。图a是反相输入一阶低通滤波器,实际上就是一个积分电路,其分析方法与一阶积分电路相同。




返回顶部
刷新页面
下到页底