电子开发网

电子开发网电子设计 | 电子开发网Rss 2.0 会员中心 会员注册
搜索: 您现在的位置: 电子开发网 >> 基础入门 >> 模拟电子电路 >> 正文

整流滤波和稳压电路技术题目解答共8题

作者:佚名    文章来源:本站原创    点击数:    更新时间:2018-09-16

  【题目1】:倍压整流电路如何分析?  

【相关知识】:二极管的单向导电性,整流电路工作原理。

【解题方法】:为了得到倍压整流电路输出电压的数值,首先必须明确电路中的二极管在什么条件下导通和什么条件下截止。为简化分析,设负载开路且电路已经进入稳态,然后对每个电容上的电压逐个分析,最后得到输出电压。

【解答过程】:

整流滤波和稳压电路技术题目解答共8题

        以图1为例,设B点为地,变压器副边电压有效值为U2

        C1上的电压:u2正半周时,即A点“+”,B点“-”时,如图中实线所示,电流从A经D1向C1充电,稳定时C1上的电压为整流滤波和稳压电路技术题目解答共8题,上正下负。在u2正半周时D2是否导通,视C2上的电压而定。

        C2上的电压:u2正半周时不可能通过D2对C2充电,事实上,在u2负半周,即A点“-”,B点“+”时,u2和C1上的电压叠加通过D2对C2充电,如图中虚线所示,因而进入稳态时,C2上的电压可达整流滤波和稳压电路技术题目解答共8题,极性右正左负。

        C3上的电压:u2正半周时,若C2已经进入稳态,则将与u2叠加通过D3对C3充电,如图中点划线所示,C3上的电压可达整流滤波和稳压电路技术题目解答共8题,极性上正下负。因此,输出电压整流滤波和稳压电路技术题目解答共8题,可见这是个三倍压电路。

        必须指出,三个电容的充电过渡过程是同时发生的,进入稳态后,三个二极管均截止。带上负载电阻并进入稳态后,在u2的各个周期均有各个电容的充放电过程,但各个电容上平均电压的比例关系基本不变。

  【题目2】:有源滤波器中为什么要引入负反馈?其通带放大倍数如何确定?  

【相关知识】:有源滤波器的概念,有源滤波电路的组成、特点和分析方法,负反馈有关概念。

【解题方法】:在有源滤波器中,集成运放工作在线性区,因而电路中必须引入负反馈,这也成为有源滤波器的电路特征,而且通带放大倍数与负反馈网络紧密相关。

【解答过程】:

整流滤波和稳压电路技术题目解答共8题

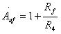
        例如,图1(a)中,以P点电位作为输入,电路为同相比例运算电路,电压放大倍数即为比例系数,决定于负反馈网络

        整流滤波和稳压电路技术题目解答共8题

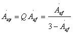
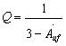
        列M、P的节点电流方程可得电路的中心频率整流滤波和稳压电路技术题目解答共8题、品质因数Q、通带放大倍数整流滤波和稳压电路技术题目解答共8题

        整流滤波和稳压电路技术题目解答共8题整流滤波和稳压电路技术题目解答共8题

        整流滤波和稳压电路技术题目解答共8题

        可见,以上指标均与负反馈网络的参数密切相关。

        再例如,在图1(b)所示电路中,当信号频率趋于零时,C1、C2、C3相当于开路,N点是虚地,等效电路如图所示,输出电压整流滤波和稳压电路技术题目解答共8题。但随着信号频率的升高,输入电压可以直接传输到输出,故该电路为高通滤波器。

        通带放大倍数如何确定?

整流滤波和稳压电路技术题目解答共8题

        由于C2的容抗趋于零,使M电位趋于N点电位,即趋于零,所以R1中电流也随之趋于零;R2中的电流远小于C3中的电流,因而等效电路如图2(b)所示,C1的电流等于C3的电流,即:

        整流滤波和稳压电路技术题目解答共8题

        由此,可得通带放大倍数

        整流滤波和稳压电路技术题目解答共8题

        它取决于输入端电容C1和反馈电容C2之比。

  【题目3】:无源滤波电路和有源滤波电路各有什么特点?各适用于什么场合?如何识别滤波电路的类型?  

【相关知识】:滤波电路的种类、特性,无源滤波电路和有源滤波器的概念,有源滤波电路的组成、特点和分析方法。

【解题方法】:通过设定信号频率由0~∞变化,分析滤波器的通带和阻带位置。

        若滤波电路元件仅由无源元件(电阻、电容、电感)组成,则称为无源滤波电路。若滤波电路不仅由无源元件,还由有源元件(双极型管、单极型管、集成运放)组成,则称为有源滤波电路。

        无源滤波电路的结构简单,易于设计,但它的通带放大倍数及其截止频率都随负载而变化,因而不适用于信号处理要求高的场合。无源滤波电路通常用在功率电路中,比如直流电源整流后的滤波,或者大电流负载时采用LC(电感、电容)电路滤波。

        有源滤波电路的负载不影响滤波特性,因此常用于信号处理要求高的场合。有源滤波电路一般由RC网络和集成运放组成,因而必须在合适的直流电源供电的情况下才能使用,同时还可以进行放大。但电路的组成和设计也较复杂。

        有源滤波电路不适用于高电压大电流的场合,只适用于信号处理。

        根据滤波器的特点可知,它的电压放大倍数的幅频特性可以准确地描述该电路属于低通、高通、带通还是带阻滤波器,因而如果能定性分析出通带和阻带在哪一个频段,就可以确定滤波器的类型。

        识别滤波器的方法是:若信号频率趋于零时有确定的电压放大倍数,且信号频率趋于无穷大时电压放大倍数趋于零,则为低通滤波器;反之,若信号频率趋于无穷大时有确定的电压放大倍数,且信号频率趋于零时电压放大倍数趋于零,则为高通滤波器;若信号频率趋于零和无穷大时电压放大倍数均趋于零,则为带通滤波器;反之,若信号频率趋于零和无穷大时电压放大倍数具有相同的确定值,且在某一频率范围内电压放大倍数趋于零,则为带阻滤波器。

  【题目4】:串联型稳压电路为何必须引入深度电压负反馈?  

【相关知识】:串联稳压电路的结构和工作原理,负反馈的概念、原理、分类。

【解题方法】:把UZ看作为稳压电路输入电压,R2中心抽头对地电压作为反馈电压来分析。

【解答过程】:串联型稳压电路的基本原理是引入电压负反馈来稳定输出电压。如图1所示。

整流滤波和稳压电路技术题目解答共8题

        当输出电压Uo由于某种原因升高时,通过采样电阻R1~R3,使T3管的基极电位UB3随之升高,T3管集电极(即调整管T1的基极)电位降低,T1的发射极电位随之降低,即输出电压Uo降低,使Uo基本不变。反之,当输出电压Uo由于某种原因降低时,也可以保持Uo基本不变。在深度负反馈条件下,T2和T3的基极电位近似相等,因而输出电压的调整范围是。

        整流滤波和稳压电路技术题目解答共8题

        必须注意的是,只有在满足深度负反馈的条件下,上述的关系才成立,因而才能实现输出电压的精确稳定。

  【题目5】:串联型稳压电路实现稳压过程中应当注意哪些问题?  

【相关知识】:串联稳压电路的结构和工作原理,正/负反馈的概念、原理。

【解题方法】:从电路的几种极端情况,分析T1~T3电路能否保持放大状态

【解答过程】:在构成反馈电路时,应当注意以下问题:

        (1)所引入的必需是电压负反馈,而不是正反馈。

        (2)比较放大部分的放大管和调整管应在电网电压波动、负载电阻变化、输出电压调整过程中始终处于放大状态,负反馈才起作用,输出电压才稳定。

        (3)电路不应产生自激振荡。

        举例来说,在图1所示的电路中:

整流滤波和稳压电路技术题目解答共8题

        (1)若T2和T3管的集电极互换,意即T2管的集电极接Rc和T1的基极,T3的集电极接T1管的发射极,则电路引入的正反馈,电路不能正常工作。

        (2)当输入电压达到最小值而输出电压又为最大值时,若调整管的压降

        整流滤波和稳压电路技术题目解答共8题

        T1进入饱和区,电路不再稳压。

        (3)若环境温度升高,使T1的穿透电流ICEO增大且空载时,若T1管的压降

        整流滤波和稳压电路技术题目解答共8题

        T1进入饱和区,电路出现高温失控现象,不再稳压。

        (4)T1基极的结点电流方程为

        整流滤波和稳压电路技术题目解答共8题

        即Rc的电流等于T1基极电流和T3基极电流之和。若负载电流增大至使整流滤波和稳压电路技术题目解答共8题,则T3截止,差分放大电路不能正常工作,电路不能稳压。

        (5)在差分放大电路中,T2和T3的发射极电流之和等于Re中的电流,而且Re中的电流基本不变,即

        整流滤波和稳压电路技术题目解答共8题

        若空载,即集电极电流T3最大时,整流滤波和稳压电路技术题目解答共8题则T2管截止,差分放大电路不能正常工作,电路不再稳压。

        (6)若在输出端测得纹波电压不是几毫伏至十几毫伏,而是几百毫伏,甚至更大,则说明电路中产生了自激振荡,电路不能稳压,需消振。

        综上,UI应足够大、采样电阻不要太大,避免空载时调整管饱和;Re与Rc必须相互配合,避免差分放大电路中的差分管截止。即调整管和差分管在电网电压的波动范围内、输出电压的调节范围内和负载电压的变化范围内始终工作在放大状态,负反馈才能起作用,电路也才能稳压。

  【题目6】:如何正确理解稳压电路的输出电压调节范围,并据此选择稳压电路的元件参数?  

【相关知识】:串联稳压电路的结构和工作原理。

【解题方法】:从极端条件出发,分析为保证输出电压的调节范围,应如何选用合适的电路元件参数。

【解答过程】:稳压电路的基本指标是输出电压和输出电流,对于实用的直流电源,还应给出输出电压的调节范围和最大负载电流。

        稳压电路的输出电压调节范围整流滤波和稳压电路技术题目解答共8题整流滤波和稳压电路技术题目解答共8题,通常是指满载的情况下,在电网电压允许的波动范围内,输出电压允许从整流滤波和稳压电路技术题目解答共8题调到整流滤波和稳压电路技术题目解答共8题,并且在输出电压的可调节范围内,即整流滤波和稳压电路技术题目解答共8题整流滤波和稳压电路技术题目解答共8题的任何数值下,当电网电压在允许的波动范围内输出电流可以从0调到整流滤波和稳压电路技术题目解答共8题(满载)。

        以如图1所示的串联型稳压电源为例。

整流滤波和稳压电路技术题目解答共8题

        电路的输入电压UI是50Hz、220V的电网电压通过电源变压器、整流和滤波以后得到的;电网电压允许的波动范围是±10%,所以整流电压UI的波动范围也是±10%。若要求输出电压调节范围是整流滤波和稳压电路技术题目解答共8题整流滤波和稳压电路技术题目解答共8题,输出电流为0~整流滤波和稳压电路技术题目解答共8题,则电路应满足下列条件:

        (1)T1的最大集电极电流整流滤波和稳压电路技术题目解答共8题,并留有余量。

        (2)在整流滤波和稳压电路技术题目解答共8题整流滤波和稳压电路技术题目解答共8题可以调到整流滤波和稳压电路技术题目解答共8题,即T1不饱和:

        整流滤波和稳压电路技术题目解答共8题

        (3)在整流滤波和稳压电路技术题目解答共8题整流滤波和稳压电路技术题目解答共8题整流滤波和稳压电路技术题目解答共8题时T1不会因集电极功耗过大而损坏,即:

        整流滤波和稳压电路技术题目解答共8题

        (4)此外,集成运放的输出电压和电流还应满足调整管基极电位和电流的需要以上(1)~(3)是调整管的选取原则,(4)是集成运放的选择原则。具体而言:若整流滤波和稳压电路技术题目解答共8题=5~15V;整流滤波和稳压电路技术题目解答共8题=22V,波动范围为±10%;整流滤波和稳压电路技术题目解答共8题,则应选择T1的极限参数为:

        整流滤波和稳压电路技术题目解答共8题

        整流滤波和稳压电路技术题目解答共8题

        整流滤波和稳压电路技术题目解答共8题

        为留有一定的余地,可选取整流滤波和稳压电路技术题目解答共8题为1.2A,整流滤波和稳压电路技术题目解答共8题为25V,整流滤波和稳压电路技术题目解答共8题为20W的调整管T1。T1管压降最小值:

        整流滤波和稳压电路技术题目解答共8题

        管子没有饱和,说明选取T1正合适,输出电压可以从5V调整到15V。

        若T1、T2管的电流放大倍数分别为30和50,b-e间电压均为0.7V,则要求集成运放输出电流(即T2管的基极电流)最大值为:

        整流滤波和稳压电路技术题目解答共8题

        要求集成运放输出电压变化范围为:

        整流滤波和稳压电路技术题目解答共8题

        可以以此作为标准选择集成运放的依据。

  【题目7】:串联和并联式开关稳压电路各有什么特点?  

【相关知识】:开关稳压电路的特点、串联式电路和并联式电路的工作原理。

【解题方法】:开关型稳压电路中调整管工作在开关状态,因而功耗小,电路效率高。在较大功率范围内逐渐取代了线性稳压电源。串联式和并联式开关稳压电源分别是两种基本的开关变换模式,以它们为基本结构加以组合和变换,可以得到各种类型的开关变换电路。

【解答过程】:串联式开关稳压电路及其主要工作波形如图1所示。

整流滤波和稳压电路技术题目解答共8题

        当晶体管T导通时,二极管D反向偏置而截止,其中电流瞬间转移到晶体管T中。电感上的电压:

        整流滤波和稳压电路技术题目解答共8题        (1)

        电感电流在该电压作用下线性上升。

        整流滤波和稳压电路技术题目解答共8题         (2)

        电感电流在该电压作用下线性下降。

        从电感电压UL的波形中可以获得输入电压、输出电压和开关占空比的关系式。根据法拉第定律,稳态运行时电感电压在一个周期内的伏秒积为零。即:

        整流滤波和稳压电路技术题目解答共8题        (3)

        由此可得输出电压Uo为:

        整流滤波和稳压电路技术题目解答共8题        (4)

        式(4)表明串联式开关稳压电路输出电压平均值正比于占空比D。当D从0变到1时,Uo从0变到Ud,且输出电压最大不超过Ud。由于变换器的输出电压总是小于输入电压,故串联式开关稳压电路也称降压变换器。工作中输入电流在开关闭合时大于0,在开关断开时等于0,因此降压变换器的输入电流是脉动的。对于脉动电流,在实际应用中应加以限制,否则会影响到其它电器的正常工作。不过输出电流在电感L以及二极管D和电容C的作用下却是连续、平稳的。

        并联式开关稳压电路及其主要工作波形如图2所示

整流滤波和稳压电路技术题目解答共8题

        当晶体管T导通时,二极管D反向偏置而截止。电感上的电压:

        整流滤波和稳压电路技术题目解答共8题        (5)

        电感电流按直线规律上升。

        当晶体管T截止时,二极管D导通。电感上的电压为:

        整流滤波和稳压电路技术题目解答共8题        (6)

        电感中的电流按直线规律下降。

        根据法拉第定律,稳态运行时电感电压在一个周期内的伏秒积为零,即:

        整流滤波和稳压电路技术题目解答共8题        (7)

        所以输出电压Uo为:

        整流滤波和稳压电路技术题目解答共8题        (8)

        式(8)表明,Boost电路输出电压平均值总是大于输入电压,当D从0变到1时,Uo从Ud变到任意大。由于变换器的输出电压总是大于输入电压,故并联式开关稳压电路也称升压变换器。通常升压变换器的输入电流不是脉动的,纹波电流随着电感L的增大而减小。晶体管输出电流总是脉动的。而且,峰值电流较大,通过输出端的滤波电容才能在负载上获得连续而平稳的电流。

  【题目8】:为什么采用精密整流电路,精密整流与普通整流电路有何不同?  

【相关知识】:二极管伏安特性、单向导电性、半波和全波整流电路工作原理、精密整流电路工作原理。

【解题方法】:将交流电转换为直流电称为整流。全波整流电路的输出保留输入电压的形状,而仅仅改变输入电压的相位。半波和全波整流电路在功能上和精密整流一样,由于二者的适用范围不同,理解时应区分二者的结构和工作原理。

【解答过程】:当输入电压为正弦波时,半波整流电路的输出电压波形如图1中uO1所示,全波整流电路的输出电压波形如图1中uO2所示。

整流滤波和稳压电路技术题目解答共8题

        精密整流电路的功能是可以将微弱的交流电压过零处附近准确转换成直流电压。

        在图2(a)所示为一般半波整流电路,由于二极管的伏安特性如图(b)所示,当输入电压uI幅值小于二极管的开启电压Uon时,二极管在信号的整个周期均处于截止状态,输出电压始终为零。即使uI幅值足够大,输出电压也只反映uI大于Uon的那部分电压的大小。在uI与Uon相差不大时,输出整流波形在零区附近的失真非常明显。因此,该电路不能对微弱信号整流。

整流滤波和稳压电路技术题目解答共8题

        图3(a)所示为半波精密整流电路。当uI>0时,必然使集成运放的输出整流滤波和稳压电路技术题目解答共8题<0,从而导致二极管D2导通,D1截止,电路实现反相比例运算,输出电压:

        整流滤波和稳压电路技术题目解答共8题        (1)

        当uI<0时,必然使集成运放的输出整流滤波和稳压电路技术题目解答共8题>0,从而导致二极管D1导通,D2截止,Rf中电流为零,因此输出电压u0=0。uIu0的波形如图(b)所示。

整流滤波和稳压电路技术题目解答共8题

        如果设二极管的导通电压为0.7V,集成运放的开环差模放大倍数为50万倍,那么为使二极管D1导通,集成运放的净输入电压应为:

        整流滤波和稳压电路技术题目解答共8题

        同理可估算出为使D2导通,集成运放所需的净输入电压也具有同等数量级。可见,只要输入电压uI使集成运放的净输入电压产生非常微小的变化,就可以改变D1和D2工作状态,从而达到精密整流的目的。

        图3(b)所示波形说明当uI>0时u0=-KuI(K>0),当uI<0时u0=0。可以想象,若利用反相求和电路将-KuIuI负半周波形相加,就可实现全波整流,此处不赘述。

        一般整流电路通常用于需要通过整流获得某恒定直流电压的场合,如电子线路的控制电源等。通常在这种应用场合下不需计较整流输出端的波形,而只关心滤波后获得的直流电压的大小。而精密整流常用作信号变换,因而除了相位关系的改变外,主要关心整流输出波形与输入波形的相符程度,任何微小的畸变都会影响精密整流的性能。

Tags:整流,稳压电路,倍压电路,负反馈  
责任编辑:admin
请文明参与讨论,禁止漫骂攻击,不要恶意评论、违禁词语。 昵称:
1分 2分 3分 4分 5分

还可以输入 200 个字
[ 查看全部 ] 网友评论
关于我们 - 联系我们 - 广告服务 - 友情链接 - 网站地图 - 版权声明 - 在线帮助 - 文章列表
返回顶部
刷新页面
下到页底
晶体管查询