定义:实验证明,如果磁介质是各向同性的,在外磁场不太强的情况下,任一点的磁化强度

与磁场强度
H之间有如下关系:

,式中

为磁介质的磁化率,它是只和磁介质的性质有关的纯数。
将

代入

可得:

这更直接地表达了磁介质中任意点的
B与
H的关系,式中:

,是磁介质的相对磁导率:

称为磁介质的磁导率。
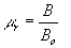
磁介质的分类:如果能在同一传导电流的磁场中,先后测出在真空和充满某种磁介质时的磁感强度

和
B,则它们的比值就是该磁介质的相对磁导率 ,即:
按

值的不同,磁介质分为三类:
(1)

:顺磁质,如氧、铝、钨、铂、铬等。
(2)

:抗磁质,如氮、水、铜、银、金、铋等。

表示完全抗磁性,如超导体是理想的抗磁体。
(3)

:铁磁质,如铁、钴、镍等。