1.计算次级输出功率(P2)
《利》文中最大输出电压为24V,假设额定输出电流1A,调整管K790管压降3V,倍压整流电路功耗忽略不计,则:
P2=(24+3)x1=27W
2.计算初级功率(P1)
假定变压器效率η=0.75,则P1=27W/0.75=36W
注:变压器的效率根据输出功率的大小不同而略有变化,通常对于容量在100W以下的变压器η在0.7-0.8之间,100W以下至1000W,在0.8-0.9之间,实际运用时,输出功率低者取小值。
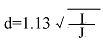
3.计算初、次级线圈的线径(d)

式中,I——绕组工作电流,J——电流密度(通常J取3-3.5A/mm2)

初级绕组电流I1=36/220=0.164(A)
3.1初级绕组线径

3.2次级绕组线径:
次级绕组电流I2=1x1.17=1.17A
式中1.17是变压器次级交流电流的整流系数。

因漆包线规格中无0.67mm,故取0.7mm。
通常我们将次级线圈的电流密度取较小值,以获得小的电源内阻及降低温升。
4.计算铁芯截面积
我们用下式计算铁芯截面积(个人认为是较简单的一个经验公式)

式中S——铁芯截面积K——系数P2——次级功率

K的取值和变压器的输出功率有关,对于100W以下的K取1.25-1.1(功率大者取小值),100W-1000W可直接取1,本例取1.15,则:

从理论上来讲,在铁芯截面积不变的情况下,变压器铁芯的舌宽和叠厚可取任意比例,但实际设计中须要考虑线圈的制作工艺,外形的匀称度,漏电抗等因素考虑,一般取舌宽约为1.5~2倍叠厚,本例中选片宽66mm的EI片,叠厚2.7cm。
5.初、次级绕组匝数
5.1计算每伏匝数(W0)

式中,f——交流电频率(Hz)B——磁通密度(T)S——铁芯截面积(CM2)
B值视铁芯材料不同取值亦会不同,通用矽钢片材料及其取值勤见下表:
本例中,选用H23片,B取1.42,则
5.2初级匝数(W1)
W1=220W0=1160(T)
5.2次级匝数(W2)
式中,1.2是整流后加滤波电容的系数,1.12是为了补偿带负载后绕组阻抗引起的次级电压降,通常次级匝数应增加5%~25%(输出功率小的取大值)。
至此,变压器的设计工作基本完成。


返回顶部
刷新页面
下到页底