目录
控制系统分类方式繁多,从应用场合分可以分为过程控制系统与运动控制系统两大类。 运动控制系统主要指那些以位移、速度和加速度等为被控参数的一类控制系统,例如以控制电动机的转速、转角、为主的机床控制和跟踪控制等系统;
过程控制系统则是指以温度、压力、流量、液位(或物位等)、成分和物性等为被控参数的流程工业中的一类控制系统。
这两类控制系统虽然基于相同的控制理论,但因控制过程的性质、特征和控制要求等的不同,带来了控制思路、控制策略和控制方法上的区别。本书仅讨论与过程控制系统有关的内容。
1.1 过程控制的要求与任务
生产过程是指物料经过若干加工步骤而成为产品的过程。该过程中通常会发生物理化学反应、生化反应、物质能量的转换与传递等,或者说生产过程表现为物流变化的过程。伴随物流变化的信息包括体现物流性质(物理特性和化学成分)的信息和操作条件(温度、压力、流量、液位或物位、成分和物性等)的信息。
生产过程的总目标,应该是在可能获得的原料和能源条件下,以最经济的途径将原物料加工成预期的合格产品。为了达到该目标,必须对生产过程进行监视与控制。
工业自动化涉及的范围极广,过程控制是其中最重要的一个分支。过程控制一般是指工业生产中连续的或按一定程序周期进行的生产过程的自动控制,它覆盖了许多工业部门,例如电力、石油、化工、冶金、炼焦、造纸、建材、轻工、纺织、陶瓷及食品等。 因而,过程控制在国民经济中占有极其重要的地位。过程控制主要针对六大参数,即温度、压力、流量、液位(或物位)、成分和物性等参数的控制问题。
但进入20世纪90年代后,随着工业和相关科学技术的发展,过程控制已经发展到多变量控制,控制的目标再也不局限在传统的六大参数,尤其是复杂工业控制系统,它们往往把生产中最关心的诸如产品质量、生产效益、能量消耗等作为控制指标来进行控制。
为了实现过程控制,以控制理论和生产要求为依据,采用模拟仪表、数字仪表或计算机等构成的控制总体,称为过程控制系统。其控制目标是人们对品质、效益、环境和能耗的总体要求。
图1-1表示转炉供氧量控制系统。转炉是炼钢工业生产过程中的一种重等要设备。熔融的铁水装入转炉后,通过氧枪供给一定的氧。其目的是使铁水中的碳氧化燃烧,以不断降低铁水中的含碳量。控制吹氧量和吹氧时间,可以获得不同品种的钢产品。
由图1-1可见,从节流装置采集到的氧气流量,送入流量变送器FT,再经过开方器,其结果送到流量控制器FC,流量控制器FC根据氧气流量的测量值与其设定值的偏差,按照一定的控制算法输出控制信号,去控制调节阀的开度,从而改变供氧量的大小,以满足生产工艺的要求。
通常,将系统中被控制的物理量称为被控变量,而被控变量所要求的理想值称为设定值或给定值。设定值是系统的输入变量,被控变量是系统的输出变量。
过程控制系统一般有如下两种运行状态。一种是稳态,此时系统没有受到任何外来干扰,同时设定值保持不变,因而被控变量也不会随时间变化,整个系统处于稳定平衡的工况。另一种是动态,当系统受到外来干扰的影响或者在改变了设定值后,原来的稳态遭到破坏,系统中各组成部分的输入输出变量都相继发生变化,尤其是被控变量也将偏离原稳态值而随时间变化,这时就称系统处于动态。经过一段调整时间后,如果系统是稳定的,被控变量将会重新达到新设定值或其附近,系统又恢复稳定平衡工况。
工业生产对过程控制的要求是多方面的,最终可以归纳为安全性、稳定性和经济性。
(1)安全性 (2)稳定性 (3)经济性
因此,过程控制的任务是在充分了解、掌握生产过程的工艺流程和动静态特性的基础上,根据上述三项要求,应用理论对控制系统进行分析与综合,以生产过程中物流变化信息量作为被控变量,选用适宜的技术手段,实现生产过程的控制目标。
工业生产过程通常分为连续过程和间隙过程。
连续过程是指整个生产过程是连续不间断地进行,一方面原料连续供应;另一方面产品源源不断地输出。例如,电力工业中电能的生产,石油工业中汽油等石化产品的生产等。至于间歇过程形式,无论其原料或者产品都是一批一批地加入或输出,所以又称为批量生产。例如,食品、酿造中的发酵,某些制药企业的微生物培养,油脂企业的酯化等。
间歇生产的特点是中转环节多、切换频繁,也即在生产过程中需要不断地切换操作,而且利用同一个装置却要生产出多种产品。所以,间歇过程的控制不仅需要不同的控制策略,也需要一系列逻辑操作工序来加以保证。过程控制中连续过程所占的比重最大,涉及石油、化工、冶金、电力、轻工、纺织、制药、建材和食品等工业部门。
本文主要讨论连续过程的控制。
1.2 过程控制系统的组成与特点
1.2.1 过程控制系统组成
在生产过程中有各种各样的控制系统,图1-2所示为几个简单控制系统的示例。图1-2所示为管道仪表流程图(P&ID),也称带测控点的工艺流程图。
过程控制系统一般由被控过程(或称被控对象)、检测变送仪表 、执行器和控制器(或称调节器)等环节组成。
(1)被控过程 (2)检测变送仪表 (3)执行器 (4)控制器 (5)报警、保护和连锁等其他部件
1.2.2 过程控制系统特点
1. 工业生产过程的特点
由于过程控制主要是指连续工业生产过程的控制,故工业生产过程的特点主要指连续工业生产过程的特点。
工业生产过程伴随着物理化学反应、生化反应、物质能量的转换与传递,是一个十分复杂的大系统,存在不确定性、时变性以及非线性等因素。因此,过程控制的难度是显而易见的,要解决过程控制问题必须采用有针对性的特殊方法与途径。工业生产过程常常处于恶劣的生产环境中,同时常常要求苛刻的生产条件,如高温、高压、低温、真空、易燃、易爆或有毒等等。因此,生产设备与人身的安全性特别重要。
由连续生产的特征可知,工业生产过程更强调实时性和整体性。协调复杂的耦合与制约因素,求得全局优化,也是十分重要的。
2. 过程控制系统的特点 (1) 被控过程的多样性
工业生产过程涉及到各种工业部门,其物料加工成的产品是多样的。同时,生产工艺各不相同,如:石油化工过程、冶金工业中的冶炼过程、核工业中的动力核反应过程等等,这些过程的机理不同,甚至执行机构也不同。因此,过程控制系统中的被控对象(包括被控变量)是多样的,明显地区别于运动控制系统。
(2) 控制方案的多样性
由工业生产过程的特点以及被控过程的多样性决定了过程控制系统的控制方案必然是多样的。这种多样性包含系统硬件组成和控制算法以及软件设计。对于图1-1和图1-2所示的简单过程控制系统,早期的控制器采用的是模拟调节仪表,如果将控制器、执行器和检测元件与变送器统称为常规检测控制仪表,则一个简单的过程控制系统可以被认为是由被控过程和常规检测控制仪表两部分组成,这样的系统也称之为常规仪表过程控制系统。
随着现代工业生产的发展,工业过程越来越复杂,对过程控制的要求也越来越高,传统的模拟式过程检测控制仪表已经不能满足控制要求,因而采用计算机作为控制器组成计算机过程控制系统。从控制方法的角度看,有单变量过程控制系统,也有多变量过程控制系统。同时,控制算法多种多样,有PID控制、复杂控制,也有包括智能控制的先进控制方法等等。
(3) 被控过程属慢过程,且多属参数控制
过程控制系统中,为了连续、稳定的生产,经常涉及大量的物料及能量储存,尤其是随着生产规模的日益扩大,这种能量及物料储存的装置也日益增大,这直接导致了过程对象常常是一些缓慢的过程,以就是说,过程对象常常是一些有纯滞后或大时间常数的过程。例如,隧道窑由于蓄热能力很强,导致以燃料喷嘴为输入,窑道中心为输出对象的时间常数往往要达到小时甚至天的数量级。
由于过程控制涉及到的系统是靠连续的物理或化学变化达到生产目的,期间涉及到大量的传热、传质及复杂的物理、化学变化,通常这些过程不是由一两个参数决定的。因此,过程控制系统往往是多参数的,且这些参数是互相影响的。
(4) 定值控制是过程控制的主要形式
为了确保安全,平稳、高效的运行,大多数过程控制系统面对的生产多是要求某些参数的稳定,也即要求被控参数为某一定值。因此,大多数过程控制系统属于定值控制系统。定值控制系统的特点是系统对给定的跟踪能力的要求低于运动控制系统,但要求较高的抗干扰能力。
(5) 过程控制系统有多种分类方法
① 按被控参数分类:可分为温度过程控制系统、压力过程控制系统、流量过程控制系统、液位或物位过程控制系统、物性过程控制系统和成分过程控制系统等;
② 按被控变量数分类:可分为单变量过程控制系统和多变量过程控制系统;
③ 按设定值分类:可分为定值过程控制系统、随动(伺服)过程控制系统和程序过程控制系统;
④ 按参数性质分类:可分为集中参数过程控制系统和分布参数过程控制系统;
⑤ 按控制算法分类:可分为简单过程控制系统、复杂过程控制系统和先进或高级过程控制系统;
⑥ 按控制器形式分类:可分为常规仪表过程控制系统和计算机过程控制系统。
1.3 过程控制系统的性能指标
工业生产过程对控制的要求,可以概括为准确性、稳定性和快速性。另外,定值控制系统和随动(伺服)控制系统对控制的要求既有共同点,也有不同点。定值控制系统在于恒定,即要求克服干扰,使系统的被控参数能稳、准、快地保持接近或等于设定值。而随动(伺服)控制系统的主要目标是跟踪,即稳、准、快地跟踪设定值。根据过程控制的特点,主要讨论定值检测的性能指标。
1.3.1 单项性能指标
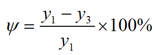
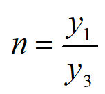
1. 衰减比和衰减率
衰减比是衡量一个振荡过程的衰减程度的指标,它等于系统阶跃响应曲线两个相邻的同向波峰值之比,如图1-3中所示,即衰减比可表示为
衡量振荡过程衰减程度的另一种指标是衰减率,它是指每经过一个周期以后,波动幅度衰减的百分数,即衰减率可表示为
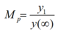
2. 最大动态偏差和超调量
最大动态偏差是指设定值阶跃响应中,过渡过程开始后第一个波峰超过其新稳态值的幅度,如图1-3中的。
最大动态偏差占被控变量稳态变化幅度的百分数称为超调量。对于二阶振荡过程而言,超调量与衰减率有严格的对应关系,即超调量可表示为
3. 残余偏差
残余偏差是指过渡过程结束后,被控变量新的稳态值与新设定值r之间的差值,它是控制系统稳态准确性的衡量指标。
4. 调节时间和振荡频率
调节时间是从过渡过程开始到结束所需的时间。理论上它需要无限长的时间,但一般认为当被控变量已进入其稳态值的5%范围内,就算过渡过程已经结束。因此,调节时间就是从扰动开始到被控变量进入新稳态值的5%范围内的这段时间,在图中以表示。调节时间是衡量控制系统快速性的一个指标。
1.3.2 综合性能指标
也称为误差积分指标。它是过渡过程中被调量偏离其新稳态值的误差沿时间轴的积分。无论是误差幅度大或是时间拖长都会使误差积分增大,因此它是一类综合指标,希望它愈小愈好。误差积分可以有各种不同的形式,常用的有以下几种:
采用不同的积分公式意味着估计整个过渡过程优良程度时的侧重点不同。例如 ISE着重于抑制过渡过程中的大误差,而 ITAE则着重惩罚过渡过程拖得过长。人们可以根据生产过程的要求,特别是结合经济效益的考虑加以选用。
误差积分指标有一个缺点,它们并不能都保证控制系统具有合适的衰减率,而后者则是人们首先关注的。特别是,一个等幅振荡过程是人们不能接受的,然而它的 IE却等于零,显然极不合理。为此,通常的做法是首先规定衰减率的要求。在这个前提下,系统仍然可能有一些灵活的余地,这时再考虑使误差积分为最小。


返回顶部
刷新页面
下到页底