1、基本差分放大电路
(1) 基本结构
差分放大电路是由对称的两个基本放大电路,通过射极公共电阻耦合构成的,如图1所示。
对称的含义是两个三极管的特性一致,电路参数对应相等,具有相同的静态工作点。

图1差动放大原理电路
(2) 电路抑制零点漂移
当环境温度变化引起两管集电极电流都发生变化时,两管集电极电位亦随之改变,使每管的输出都产生了零点漂移。由于电路的对称性,两者的漂移是同向的,即同时增大或同时减小,且增量也相等,因此,在输出端将互相抵消而被完全抑制,使输出u0维持原值而为零。
(3)三类输入信号——共模、差模、任意输入
共模输入信号是指在两个输入端加上幅度相等,极性相同的信号,即ui1=ui2,uo=0;
差模输入信号是指在两个输入端加上幅度相等,极性相反的信号,即ui1=-ui2,uo=ΔVc1-ΔVc2
差分放大电路仅对差模信号具有放大能力,对共模信号不予放大。
任意输入信号是指在两个输入端加入任意大小和极性的输入信号。 任意输入信号可以分解为一对共模信号和一对差模信号的组合。
差放电路的主要技术指标:电压放大倍数和共模抑制比。双端输出时,差模电压放大倍数与单管放大时相等,单端输出则为单管放大的二分之一;双端输出时,共模电压放大倍数,理想情况系下为零,单端输出时,共模电压放大倍数很小。

差分放大器的输入阻抗计算
差分放大器的输入阻抗可以分三个:①差模输入阻抗②共模输入阻抗③每个端口的单端输入阻抗。下面分别对应两种差分放大器进行计算
一、差分输入、单端输出

图1. 差分输入、单端输出放大器
简化示意图如下图所示:

图2. 简化电路示意图
①差分输入阻抗
差分输入阻抗Rid的定义是输入端的电压变化量除以电流变化量即Rid=△v/△i≠v/i 。由上图可知Zid=Z1+Z2,对应图1电路,差分输入阻抗Rid=R1+R2,电阻匹配的情况下有R1=R2,因此有
Rid=2R1
②共模输入阻抗
共模输入阻抗的定义为共模电压源上给测试信号v,对应流出电流为i,则Ric=v/i,注意测试信号给的位置是在Vc上。由图2可得Ric=Z1||Z2+Z3,电阻匹配情况下R1=R2,Rf=Rg,因此有:
Ric=½R1+½Rf
以上结果与佛朗哥《基于运算放大器和模拟集成电路的电路设计》P.63的结论是一样的,下面计算此书中未提及的每个端口看进去的输入阻抗。
③单个端口的输入阻抗
V2端(同相端)的输入阻抗Ri2=R2+Rg(显然);将V2接地,V1端(反相端)的输入阻抗Ri1=R1+Rf。注意两个端口看进去的输入阻抗是不同的!
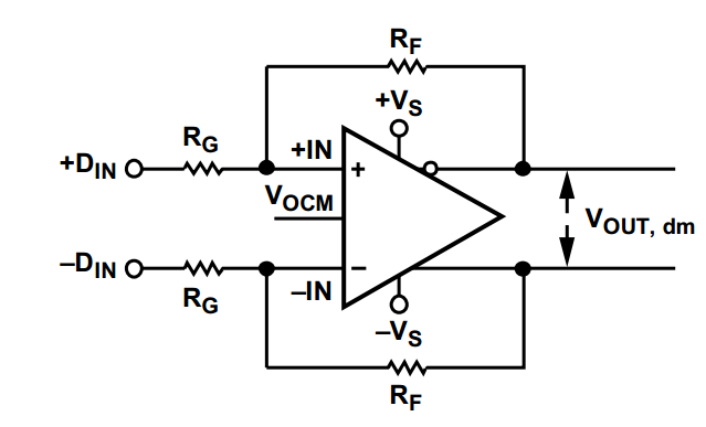
二、差分输入、差分输出

图3. 差分输入、差分输出放大器
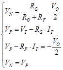
对于差分输入、差分输出的放大器,其差模输入阻抗和共模输入阻抗与图1的计算方法与计算结果都相同,Rid=2Rg,Ric=(Rg+Rf)/2。这种放大器经常用于差分信号转换为单端信号,通常将同相端接地,反相端输入信号,这就需要计算从同相端看进去的单端口输入阻抗。将-Din接地,+Din给一个测试信号VT,流入放大器的电流为IT,运用虚短、虚断公式(注意Vout为+½Vo和-½Vo),有:
虚短、虚断公式
得到输入阻抗为:
计算得到的结果
注意,ADI应用手册AN-0990中的算结果:
ADI计算的结果
注意这与我计算的结果是一样的,这就是差分输入、差分输出放大器的单端输入阻抗。


返回顶部
刷新页面
下到页底