一、LC串并联电路定性认识
在LC电路中,感抗和容抗相等时对应的频率值称为谐振频率,如下图1所示。在接收广播电视信号或无线通信信号时,使接收电路的频率与所选择的广播电视台或无线电台发射的信号频率相同就叫做调谐。

图1 感抗与容抗曲线
LC串联谐振电路的特点:
LC串联谐振电路是指将电感器和电容器串联后形成的,且为谐振状态(关系曲线具有相同的谐振点)的电路,如图2所示。在串联谐振电路中,当信号接近特定的频率时,电路中的电流达到最大,这个频率称为谐振频率。
图2 LC串联谐振电路及电流和频率的关系曲线
不同频率信号通过LC串联电路的条件如图3所示。由图可知,当输入信号经过LC串联电路时,根据电感器和电容器的特性,信号频率越高电感的阻抗越大,而电容的阻抗则越小,阻抗大则对信号的衰减大,频率较高的信号通过电感会衰减很大,而直流信号则无法通过电容器。当输入信弓的频率等于LC谐振的频率时,LC串联电路的阻抗最小。此频率的信号很容易通过电容器和电感器输出。此时LC串联谐振电路起到选频的作用。

图3 信号流过LC串联电路
LC并联谐振电路的特点:
LC并联谐振电路是指将电感器和电容器并联后形成的,如图4所示,在并联谐振电路中,如果线圈中的电流与电容中的电流相等,则电路就达到了并联谐振状态。在该电路中,除了LC并联部分以外,其他部分的阻抗变化几乎对能量消耗没有影响。因此,这种电路的稳定性好,比串联谐振电路应用得更多。

图4 LC并联谐振电路及电流和频率的关系曲线
图5所示为不同频率的信号通过LC并联谐振电路时的状态,当输入信号经过LC并联谐振电路时,同样根据电感器和电容器的阻抗特性,较高频率的信号则容易通过电容器到达输出端,较低频率的信号则容易通过电感器到达输出端。由于LC回路在谐振频率fo处的阻抗最大,谐振频率点的信号不能通过LC并联振荡电路。

图5 信号流过LC并联电路
二、LC串并联电路定量认识
LC串联选频电路的幅频特性、通频带和选择性。
LC串联谐振电路回路广泛地用于超外差收音机的选频电路之中,如输入回路、变频电路、中频电路等。

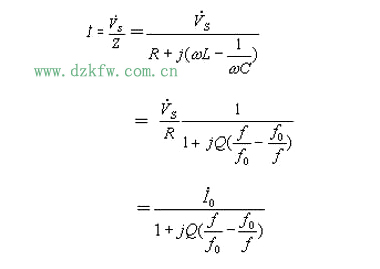
上图为一LC串联谐振电路,其中R表示线圈L的损耗电阻。该电路的交流阻抗为:
,当回路发生谐振时,
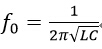
故回路的谐振频率为:
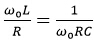
。该串联电路谐振时的特点是,回路的阻抗最小且Z0=R;信号电压一定时,回路的电流最大且I0=Vs/R;电感或电容两端的电压最大,且是信号电压的Q倍。Q的定义为:
,Q叫回路的品质因数。
1、幅频特性
LC串联谐振电路的电流:

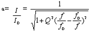
为方便起见,通常用电流的相对比值(称归一化)来表示串联回路电流的幅频特性:
利用上式可画出下图的幅频特性曲线(即谐振曲线),从曲线看出:Q值愈大,曲线愈尖锐,回路的选择性愈好。

2、通频带
满足
(即0.707)的频率认为可以通过回路,通过回路的频率范围称通频带,通频带的宽度用B表示

由此可见: Q值越低,通频带越宽,Q值越高,通频带越窄。
3、选择性
回路的选择性通常用谐振曲线的矩形系数Kr来表示,Kr定义为a下降到0.1时的频宽B0.1与a下降到0.7时频宽B0.7的比值
,R、L、C串联回路的矩形系数为:

理想矩形系数Kr=1,而LC串联回路谐振曲线矩形系数较大,因此选择性较差。
LC并联选频电路

图中R表示回路的等效损耗电阻。由图可知,LC并联谐振回路的等效阻抗为:
2、LC并联回路谐振频率为:
3、LC并联回路谐振时,回路的等效阻抗为纯电阻,阻值最大:
信号源电流与振荡回路中的支路电流的关系:

上式表明:LC电路谐振时,支路电流近似为总电流的Q倍,通常,Q>>1,所以,谐振时LC并联电路的回路电流比输入电流大得多。也就是说,在谐振回路中外界的影响可以忽略。这个结论对于分析LC正弦波振荡电路是十分有用的。
4、LC并联谐振回路的频率响应
LC并联回路具有选频特性。在谐振频率fo处,电路为纯阻性(V与I无相差)阻值最大。在f<fo处,电路呈电感性。在f>fo处,电路呈电容性。

请勿误解,此图并不是LC并联电路的幅频特性曲线,只表示部分意思
Q 越大,谐振时Zo越大,振幅特性曲线越尖锐,在f=fo附近相频特性变化越快,选频性能越好。对相同的Δφ而言,Q值越大,对应的Δf越小,因此频率的稳定性越好。


返回顶部
刷新页面
下到页底