以电压

因为
![]()
![]()
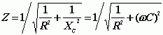
则总电流与电压的有效值之间的关系为

其中
称为
并联电路的等效阻抗。那么,总电流与电压的位相关系为
由此可见,
并联电路的总电流与电压的位相差等于等效阻抗的阻抗角。由于
,表示电流的位相超前于电压,电路呈电容性。
2、RL 并联电路
以电压
为参考矢量,根据电阻、电感元件上的电流与电压的位相关系画出
并联电路的矢量图。由矢量图得总电流与流过各元件的电流的有效值关系为 ![]()


因为
![]()
![]()
则总电流与电压的有效值之间的关系为

其中
称为
并联电路的等效阻抗。那么,总电流与电压的位相关系为![]()
由此可见,
并联电路的总电流与电压的位相差等于等效阻抗的阻抗角。由于
,表示电流的位相落后于电压,电路呈电感性。


返回顶部
刷新页面
下到页底