电桥一般分线式电桥和箱式电桥,其原理基本上是一样的,就是一组接有好多电阻和电表的电路图,当线路某两个特定的接点的电势相等时,就称其平衡电桥,常用它来精确地测电阻。有平衡电桥与不平衡电桥两种。
什么是非平衡电桥
在实际工程中和科学实验中,很多物理量是连续变化的,只能采用非平衡电桥才能测量;非平衡电桥的基本原理是通过桥式电路来测量电阻,根据电桥输出的不平衡电压,再进行运算处理,从而得到引起电阻变化的其它物理量,如温度、压力、形变等。
非平衡电桥的桥路形式
1、等臂电桥
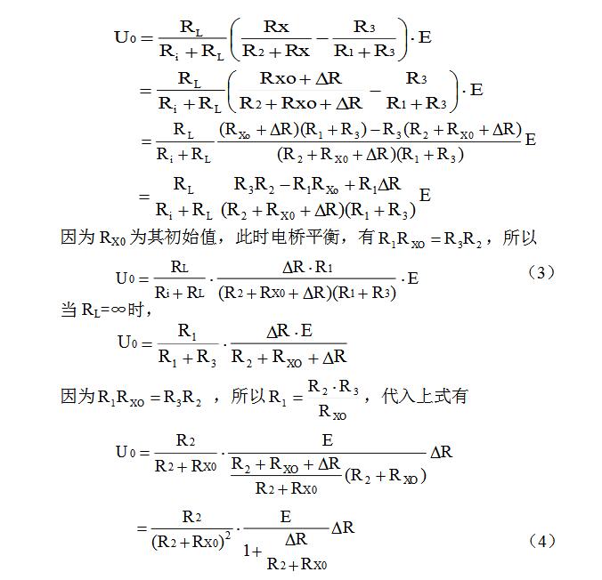
电桥的四个桥臂阻值相等,即R1=R2=R3=RX0;其中RX0是RX的初始值,这时电桥处于平衡状态,U0=0。
2、卧式电桥也称输出对称电桥
这时电桥的桥臂电阻对称于输出端,即R1= R3,R2= RX0,但R1≠R2
3、立式电桥也称电源对称电桥
这时从电桥的电源端看桥臂电阻对称相等即

4、比例电桥
这时桥臂电阻成一定的比例关系,即R1=KR2,R3=KRX0或R1=K R3,R2=K RX0,K为比例系数。实际上这是一般形式的非平衡电桥。
非平衡电桥的输出
非平衡电桥的输出接负载大小分类又可分为两种。一种是负载阻抗相对于桥臂电阻很大,如输入阻抗很高的数字电压表或输入阻抗很大的运算放大电路;另一种是负载阻抗较小,和桥臂电阻相比拟。后一种由于非平衡电桥需输出一定的功率,故又称为功率电桥。
根据戴维南定理,图1所示的桥路可等效为图2(a)所示的二端口网络。




什么是平衡电桥
当电桥中某两个特定的接点的电势相等,即此两接点的电桥输出为零时,就称其平衡电桥
平衡电桥分类
电桥可以按照激励方式分为直流平衡电桥和交流平衡电桥。
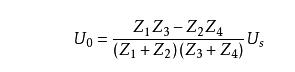
直流平衡电桥对于直流电桥来说,其输出电压为:
输出电压为:

由上式可见:若
,
则输出电压必为零,此时电桥处于平衡状态,称为平衡电桥。
因此,对于直流平衡电桥来说,平衡条件为: ![]()
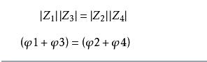
交流平衡电桥
对于直流电桥来说,其输出电压为:
输出电压为:

由上式可见:若
,则输出电压为零。对于交流电桥来说,Z是复数。
那么,交流电桥的平衡条件为:

可以表示为:

非平衡电桥与平衡电桥之间是什么区别
非平衡电桥与平衡电桥之间的关系是是非关系。工作在不平衡条件下的电桥是非平衡电桥,工作在平衡条件下的电桥是平衡电桥。
平衡电桥指两臂中点电压相同,为的是测试准确,精度较高。非平衡电桥相对简单精度稍差。


返回顶部
刷新页面
下到页底