典型差分放大电路的静态和动态计算方法与基本放大电路基本相同。为了使差分放大电路在静态时,其输入端基本上是零电位,将Re从接地改为接负电源-VEE,如图1所示。由于接入负电源,所以偏置电阻Rb可以取消,改为-VEE和Re提供基极偏置电流。
![]() |
|
图1 典型差分放大电路 |
1.静态分析
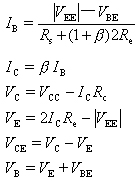
基极电流为
(1)
由IB的计算式可知,Re对一半差分电路而言,
只有2Re 才能获得相同的电压降。
2.差分放大电路的动态分析
![]() |
|
图2 双端输入双端输出 |
(1)差模输入
差分放大电路的差模工作状态分为四种:
双端输入、双端输出(双-双),
双端输入、单端输出(双-单),
单端输入、双端输出(单-双),
单端输入、单端输出(单-单)。
① 差模电压放大倍数Avd
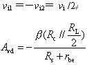
双端输入差分放大电路如图2所示。负载电阻接在两集电极之间,vi接在两输入端之间,也可看成vi/2各接在两输入端与地之间。
双端输入、双端输出差模电压放大倍数:

![]() |
|
图3 双端输入单端输出 |
这种方式适用于对称输入和对称输出,输入、输出均不接地的情况。
双端输入、单端输出差模电压放大倍数:(如图3所示)
(3)
双端输入单端输出因只利用了一个集电极输出的变化量,所以它的差模电压放大倍数是双端输出的二分之一。这种方式适用于将差分信号转换为单端输出信号。
单端输入、双端输出差模电压放大倍数:
![]() |
|
图4 单端输入转换为双端输入 |
单端输入信号可以转换为双端输入,其转换过程见图4。右侧的Rs+rbe归算到发射极回路的值为(Rs+rbe)/(1+β)<<Re,故Re对Ie分流极小,可忽略,于是有
(4)
这种方式用于将单端信号转换成双端差分信号,可用于输出负载不接地的情况。
单端输入、单端输出电压放大倍数:
(5)
通过从T1或T2的集电极输出,可以得到输出与输入之间或反相或同相的关系。从T1的基极输入信号,从C1输出,为反相;从C2输出为同相。
② 差模输入电阻
不论是单端输入还是双端输入,差模输入电阻rid是基本放大电路的两倍。
rid = 2(Rs + rbe) (6)
③ 输出电阻
输出电阻在单端输出时,ro = RC (7)
双端输出时,ro = 2RC (8)
(2)共模输入
例如,温漂信号属共模信号,它对差分放大电路中Ic1和Ic2的影响相同。
① 共模放大倍数Avc
共模信号对放大电路来说也是变化量,不能视为直流量。计算共模放大倍数Avc时,图1中Re用2Re 等效。共模放大倍数Avc的大小,取决于差分电路的对称性,双端输出时可以认为等于零。单端输出时为
(9)
②共模抑制比
共模抑制比KCMR是差分放大器的一个重要指标。
(10) 或
(11)
双端输出时KCMR可认为等于无穷大,单端输出时共模抑制比。






返回顶部
刷新页面
下到页底