1、信号在传输过程中,可能产生线性和非线性两种失真。
线性失真又称为频率失真,是由于器件内部电抗效应和外部电抗元件的存在,而使得电路对同一信号中不同的频率分量的传输系数不同或相位移不同而引起的。
非线性失真是由于器件的非线性引起的。两种失真的区别在于非线性失真使得电路的输出信号中产生了不同于输入信号的新的频率成分,而线性失真则不会产生新的频率成分。
2、线性失真用电路的频率特性表示,失真度的测量是指非线性失真的程度的测量。
衡量非线性失真的大小,常用非线性失真系数(失真度)
表示,它的定义为:

式中U1为基波分量电压有效值。U2,U3,…,UN分别为二次、三次……N次谐波分量电压有效值。
由于在实际工作中测量被测信号的基波电压有效值比较困难,而一般测量被测信号的电压有效值比较容易,因此,常用的测试非线性失真的大小的仪器——失真度测试仪——测出的非线性失真系数为
0。

即
o为被测信号中各次谐波电压有效值与被测信号电压有效值之比的百分数。
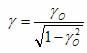
和
o的关系为:

当
0<0%时,
=
0,当
0>0%时,则应按上式计算
信号的失真。
失真度既可以表征电路的特性,又可以表征非正弦信号与正弦信号的差别,用失真度来表征一个正弦振荡器的输出波形的好坏就是一个例子。一般,人耳对音乐能觉察0.7%左右的失真度;对语言能分辨3%~5%的失真度。对于音频设备,常要求失真度在0.5%~0.8%以下。


返回顶部
刷新页面
下到页底