下图(a)是变压器反馈LC振荡电路。晶体管VT是共发射极放大器。变压器T的初级是起选频作用的LC谐振电路,变压器T的次级向放大器输入提供正反馈信号。接通电源时,LC回路中出现微弱的瞬变电流,但是只有频率和回路谐振频率f0相同的电流才能在回路两端产生较高的电压,这个电压通过变压器初次级L1、L2的耦合又送回到晶体管V的基极。从下图(b)看到,只要接法没有错误,这个反馈信号电压是和输入信号电压相位相同的,也就是说,它是正反馈。因此电路的振荡迅速加强并最后稳定下来。
LC并联谐振电路作为三极管的负载,反馈线圈L2与电感线圈L相耦合,将反馈信号送入三极管的输入回路。交换反馈线圈的两个线头,可使反馈极性发生变化。调整反馈线圈的匝数可以改变反馈信号的强度,以使正反馈的幅度条件得以满足。
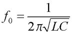
变压器反馈LC振荡电路的特点是:频率范围宽、容易起振,但频率稳定度不高。它的振荡频率是:f0=1/2πLC。常用于产生几十千赫到几十兆赫的正弦波信号。
有关同名端的极性请参阅下图。有关同名端的极性
变压器反馈LC振荡电路的振荡频率与并联LC谐振电路相同,为


返回顶部
刷新页面
下到页底