风向传感器
风向传感器是以风向箭头的转动探测、感受外界的风向信息,并将其传递给同轴码盘,同时输出对应风向相关数值的一种物理装置。
通常风向传感器主体都采用风向标的机械结构,当风吹向风向标的尾部的尾翼的时候,风向标的箭头就会指风吹过来的方向。为了保持对于方向的敏感性,同时还采用不同的内部机构来给风速传感器辨别方向。通常有以下三类:
电磁式风向传感器:利用电磁原理设计,由于原理种类较多,所以结构与有所不同,目前部分此类传感器已经开始利用陀螺仪芯片或者电子罗盘作为基本元件,其测量精度得到了进一步的提高。
光电式风向传感器:这种风向传感器采用绝对式格雷码盘作为基本元件,并且使用了特殊定制的编码编码,以光电信号转换原理,可以准确的输出相对应的风向信息。
电阻式风向传感器:这种风向传感器采用类似滑动变阻器的结构,将产生的电阻值的最大值与最小值分别标成360°与0°,当风向标产生转动的时候,滑动变阻器的滑杆会随着顶部的风向标一起转动,而产生的不同的电压变化就可以计算出风向的角度或者方向了。
风速传感器
风速传感器是一种可以连续测量风速和风量(风量=风速x横截面积)大小的常见传感器。
风速传感器大体上分为机械式(主要有螺旋桨式、风杯式)风速传感器、热风式风速传感器、皮托管风速传感器和基于声学原理的超声波风速传感器。
螺旋桨式风速传感器工作原理
我们知道电扇由电动机带动风扇叶片旋转,在叶片前后产生一个压力差,推动气流流动。螺旋浆式风速计的工作原理恰好与此相反,对准气流的叶片系统受到风压的作用,产生一定的扭力矩使叶片系统旋转。通常螺旋桨式速传感器通过一组三叶或四叶螺旋桨绕水平轴旋转来测量风速,螺旋桨一般装在一个风标的前部,使其旋转平面始终正对风的来向,它的转速正比于风速。
风杯式风速传感器工作原理
风杯式风速传感器,是一种十分常见的风速传感器,最早由英国鲁宾孙发明。感应部分是由三个或四个圆锥形或半球形的空杯组成。空心杯壳固定在互成120°的三叉星形支架上或互成90°的十字形支架上,杯的凹面顺着一个方向排列,整个横臂架则固定在一根垂直的旋转轴上。
当风从左方吹来时,风杯1与风向平行,风对风杯1的压力在最直于风杯轴方向上的分力近似为零。风杯2与3同风向成60度角相交,对风杯2而言,其凹面迎着风,承受的风压最大;风杯3其凸面迎风,风的绕流作用使其所受风压比风杯2小,由于风杯2与风杯3在垂直于风杯轴方向上的压力差,而使风杯开始顺时针方向旋转,风速越大,起始的压力差越大,产生的加速度越大,风杯转动越快。
风杯开始转动后,由于杯2顺着风的方向转动,受风的压力相对减小,而杯3迎着风以同样的速度转动,所受风压相对增大,风压差不断减小,经过一段时间后(风速不变时),作用在三个风杯上的分压差为零时,风杯就变作匀速转动。这样根据风杯的转速(每秒钟转的圈数)就可以确定风速的大小。
当风杯转动时,带动同轴的多齿截光盘或磁棒转动,通过电路得到与风杯转速成正比的脉冲信号,该脉冲信号由计数器计数,经换算后就能得出实际风速值。目前新型转杯风速表均是采用三杯的,并且锥形杯的性能比半球形的好,当风速增加时转杯能迅速增加转速,以适应气流速度,风速减小时,由于惯性影响,转速却不能立即下降,旋转式风速表在阵性风里指示的风速一般是偏高的成为过高效应(产生的平均误差约为10%)
热式风速传感器工作原理
热式风速传感器以热丝(钨丝或铂丝) 或是以热膜(铂或铬制成薄膜) 为探头,裸露在被测空气,并将它接入惠斯顿电桥,通过惠斯顿电桥的电阻或电流的平衡关系,检测出被测截面空气的流速。热膜式风速传感器的热膜外涂有极薄 的石英膜绝缘层,以便和流体绝缘,并可防止污染,可在带有颗粒的气流中工作,其强度比金属热线丝高。
当空气温度稳定不变时,热丝上的耗电功率等于热丝在空气中瞬时耗去的热量。热丝电阻随温度而变化,热线的电阻和热线温度在通常温度范围(0~300 ℃) 之内,表现为线性关系。放热系数与气流速度有关,流速越大,对应的放热系数也越大,即散热快;流速小,则散热慢。
热式风速传感器所测气流速度是电流与电阻的函数。将电流(或电阻) 保持不变,所测气流速度仅与电阻(或电流) 一一对应。
热线式风速传感器有恒流与恒温两种设计电路。
恒温式热线风速传感器较为常用。恒温法原理是测量过程中保持热丝温度恒定,使电桥平衡,此时热丝电阻保持不变,气流速度只是电流的单值函数,根据已知的气流速度与电流的关系可求得通过末端装置的气流速度。
恒流式热线风速传感器在测量过程中保持流经热丝的电流值不变。当电流值不变时,气流速度仅仅与热丝电阻有关。根据已知的气流速度与热丝电阻的关系可求得通过风速传感器的气流速度。
热线式风速传感器可测量脉动风速。恒流式风速传感器热惯性较大,恒温式风速传感器的热惯性相对较小,具有较高的速度响应。热线式风速传感器的测量精度均不很高, 使用时要注意温度补偿。
皮托管风速传感器工作原理
皮托管,又名“空速管”,“风速管”,是测量气流总压和静压以确定气流速度的一种管状装置,由法国H.皮托发明而得名。
用实验方法直接测量气流的速度比较困难,但气流的压力则可以用测压计方便地测出。它主要是用来测量飞机速度的,同时还兼具其他多种功能。因此,可用皮托管测量压力,再应用伯努利定理算出气流的速度。
皮托管由一个圆头的双层套管组成(见图),外套管直径为D,在圆头中心O处开一与内套管相连的总压孔,联接测压计的一头,孔的直径为0.3~0.6D。在外套管侧表面距O约3~8D的C处沿周向均匀地开一排与外管壁垂直的静压孔,联接测压计另一头,将皮托管安放在欲测速度的定常气流中,使管轴与气流的方向一致,管子前缘对着来流。当气流接近O点处,其流速逐渐减低,流至O点滞止为零。
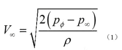
所以O点测出的是总压P。其次,由于管子很细,C点距O点充分远,因此C点处的速度和压力已经基本上恢复到同来流速度V和压力P相等的数值,因而在C点测出的是静压。对于低速流动(流体可近似地认为是不可压缩的),由伯努利定理得确定流速的公式为:
根据测压计测出的总压和静压差P-P,以及流体的密 度ρ,可以按照式(1)求出气流的速度。
超声波风速传感器工作原理
超声波风速传感器的工作原理是利用超声波时差法来实现风速的测量。由于声音在空气中的传播速度,会和风向上的气流速度叠加。
假如超声波的传播方向与风向相同,那么它的速度会加快;反之,若超声波的传播方向若与风向相反,那么它的速度会变慢。所以,在固定的检测条件下,超声波在空气中传播的速度可以和风速函数对应。
通过计算即可得到精确的风速和风向。由于声波在空气中传播时,它的速度受温度的影响很大;风速传感器检测两个通道上的两个相反方向,因此温度对声波速度产生的影响可以忽略不计。
超声波风速传感器它具有重量轻、没有任何移动部件、坚固耐用的特点, 而且不需维护和现场校准,能同时输出风速和风向。客户可根据需要选择风速单位、 输出频率及输出格式。
也可根据需要选择加热装置(在冰冷环境下推荐使用)或模拟输出。可以与电脑、数据采集器或其它具有RS485或模拟输出相符合的采集设备连用。如果需要,也可以多台组成一个网络进行使用。
超声波风速风向仪是一种较为先进的测量风速风向的仪器。由于它很好地克服了机械式风速风向仪固有的缺陷, 因而能全天候地、长久地正常工作,越来越广泛地得到使用。它将是机械式风速仪的强有力替代品。
超声波风速传感器特点:
1、采用声波相位补偿技术,精度更高;
2、采用随机误差识别技术,大风下也可保证测量的低离散误差,使输出更平稳;
3、针对细雨,浓雾天气的测量补偿技术,具有更强的环境适应力;
4、数字滤波技术,抗电磁干扰能力更强;
5、无启动风速限制,零风速工作,适合室内微风的测量,无角度限制(360°全方位),同时获得风速、风向的数据;
6、测量精度高;性能稳定;低功耗不需校准;
7、结构坚固,仪器抗腐蚀性强,在安装和使用时无需担心损坏;
8、设计灵活,轻巧,携带轻便,安装、拆卸容易;
9、信号接入方便,同时提供数字和模拟两种信号;
10、不需维护和现场校准, 真正的0~359°工作 (无死角)。
风向风速传感器的应用
风向传感器和风速传感器虽然是两种完全独立的传感器,但大多数情况下,这两种传感器是整合在同一测量设备中,通过综合处理数据信息,共同发挥作用的。
风向风速传感器在气象领域的应用
在气象领域,通常需要对许多种自然现象进行观察,如风速与气象的变化,当然还有风向的变化,对于风向的测量工作,现在基本是使用风向仪或者风向传感器设备来解决这个问题。
地面风向变化的测量:在沙漠、高原地区的风沙治理工作中,通常人们需要注意气流流动的速度与风向的变化,这样可以掌握到更多的气象数据,一边制定更完善的治理方案,所以在整个过程中用到风向传感器这种气象设备。
海洋风暴预警:可以说海洋气象预警系统是风向传感器在气象领域重要应用之一,它为海洋气象预警系统提供的风向变化数据,是预测台风覆盖范围以及“运行”轨迹的重要参数之一
风向风速传感器在煤矿领域的应用
安装在矿井中的通风设备,往往型号不一,而且其工作功率也有着较大的差别,所以需要使用风速传感器设备对各个通风道的风速值进行监视,防止某个位置的通风率过低而出现的有害气体浓度过高的现象出现。
其实为了确保各大、中、小型煤矿生产工作安全的进行,根据相关规定,在煤矿中应该安装风速传感器设备,在每一个采矿区、翼回风巷以及总回风巷都应该设置风速传感器设备,而掘进工作面就属于采矿区的一部分,因此掘进工作面,是需要安装风速传感器的。
其实在掘进面中需要安装风速传感器还有一个主要的原因,就是通常煤矿中的甲烷、一氧化碳、瓦斯等有害气体往往从掘进面出现的概率最大,甚至有些气体在地下形成的“气室”中的气体直接就是一些有害性气体,因此煤矿中需要在每个位置都安装风速传感器并连接通风设备。
风向风速传感器在风力发电领域的应用
现代化的大型风力发电机为了能够更好的利用风力资源,通常叶轮方向的控制已经不是用尾翼进行的,而是通过风向传感器来完成这个角度的控制,通常风向传感器 需要安装在风电机组顶部,但需要防止叶轮阻碍传感器进行测量,如果传感器的高度达到一定程度的时候,人们还需要注意对发电机组以及传感器进行防雷、防漏电处理。
通常风力场附近安装的风向传感器有以下两个主要用途:
1、保障风力发电机叶片可以实时正对风向角,确保事实都在正常工作状态。
2、在风电场附近的气象站设备上的风向测量仪器可以确保大风天气不会对风电机组构成威胁。
风向风速传感器在塔式起重机领域的应用
通常,为了确保建筑工程的进行,大多数的塔式起重机通常都会安装风速传感器设备,它的存在可以让起重机在大风影响起重机工作的时候,发出报警,但是当大风已经开始影响起重机工作的时候,往往就需要注意风向的变化,这样才能针对不同风向的风做出应对措施,所以部分起重机上面已经使用了风向传感器设备。
风向风速传感器在空调及通风设备领域的应用
变风量末端装置是变风量空调系统的主要设备之一。风速传感器又是变风量末端装置的关键部件,因此,风速传感器的类型与性能直接影响系统风量的检测和控制质量。目前,我国及欧美各厂家的变风量末端装置均采用皮托管式风速传感器,而日本各厂家多不采用皮托管式风速传感器。
风向风速传感器在航空领域的应用
飞机上的“空速管”是一种典型的皮托管风速传感器,是飞机上极为重要的测量工具。它的安装位置一定要在飞机外面气流较少受到飞机影响的区域,一般在机头正前方,垂尾或翼尖前方。当飞机向前飞行时,气流便冲进空速管,在管子末端的感应器会感受到气流的冲击力量,即动压。飞机飞得越快,动压就越大。
如果将空气静止时的压力即静压和动压相比就可以知道冲进来的空气有多快,也就是飞机飞得有多快。比较两种压力的工具是一个用上下两片很薄的金属片制成的表面带波纹的空心圆形盒子,称为膜盒。
这盒子是密封的,但有一根管子与空速管相连。如果飞机速度快,动压便增大,膜盒内压力增加,膜盒会鼓起来。用一个由小杠杆和齿轮等组成的装置可以将膜盒的变形测量出来并用指针显示,这就是最简单的飞机空速表。
空速管测量出来的静压还可以用来作为高度表的计算参数。如果膜盒完全密封,里面的压力始终保持相当于地面空气的压力。这样当飞机飞到空中,高度增加,空速管测得的静压下降,膜盒便会鼓起来,测量膜盒的变形即可测得飞机高度。这种高度表称为气压式高度表。
空速管测量出来的速度并非是飞机真正相对于地面的速度,而只是相对于大气的速度,所以称为空速。如果有风,飞机相对地面的速度(称地速)还应加上风速(顺风飞行)或减去风速(逆风飞行)。
结语
结合物联网、大数据、AI技术等,相信不久的将来,各种新式的、智能的风向风速传感器将会越来越多地应用在建筑机械、铁路、港口、码头、电厂、气象、索道、环境、温室、养殖等各个领域,实时监控并进行智能调节。


返回顶部
刷新页面
下到页底