电容传感器的电容变化量往往很小。结果电容传感器电缆杂散电容的影响非常明显。特别在电容层析成像系统中被测电容变化量可达0.01pF,属于微弱电容测量,系统中总的杂散电容(一般大于100 pF)远远大于系统的电容变化值,且杂散电容会随温度、结构、位置、内外电场分布及器件的选取等诸多因素的影响而变化,同时被测电容变化范围大。因此微小电容测量电路必须满足动态范围大、测量灵敏度高、低噪声、抗杂散性等要求。
1 充/放电电容测量电路
充/放电电容测量电路基本原理如图1所示。
由CMOS开关S1,将未知电容Cx充电至Ve,再由第二个CMOS开关S2放电至电荷检测器。在一个信号充/放电周期内从Cx传输到检波器的电荷量Q=Ve·Cx,在时钟脉冲控制下,充/放电过程以频率f=1/T重复进行,因而平均电流Im=Ve·Cx·f,该电流被转换成电压并被平滑,最后给出一个直流输出电压 Vo=Rf·Im=Rf·Ve·Cx·f(Rf为检波器的反馈电阻) 。
充/放电电容测量电路典型的例子为差动式直流充放电C/V转换电路,如图2所示。
Cs1和Cs2分别为源极板和检测极板与地间的等效杂散电容(通过分析可知,它们不影响电容Cx的测量)。S1-S4是CMOS开关,S1和S3同步,S2和S3同步,它们的通断受频率f的时钟信号控制,每个工作周期由充/放电组成。分析可得电路输出为
Vo=2KRfVeCxf (1)
式中,K为差分放大器D3的放大倍数。
该电路的主要优点是能有效地抑制杂散电容,而且电路结构简单,成本很低,经过软件补偿后电路稳定性较高,获取数据速度快。缺点是电路采用的是直流放大,存在较大的漂移;另外,充/放电是由CMOS开关控制,所以存在电荷注入问题。目前该电路已成功应用于6、8、12电极的ECT系统中。其典型分辩率可达3*10-15F。
2 AC电桥电容测量电路
AC电桥电容测量电路如图3所示,其原理是将被测电容在一个桥臂,可调的参考阻抗放在相邻的一个桥臂,二桥臂分别接到频率相同/幅值相同的信号源上,调节参考阻抗使桥路平衡,则被测桥臂中的阻抗与参与阻抗共轭相等。这种电路的主要优点是:精度高,适合作精密电容测量,可以做到高信噪比。
图3电路的缺点是无自动平衡措施,为此可采用图4所示的自动平衡AC电桥电容测量电路。
该系统输出Vd为一直流信号,ΔC为传感器的电容变化量。
式中,2/π为相敏因子。
结合平衡条件,在理论上输出Vd可写成
获得该电桥的自动平衡过程的步骤为:保证电桥未加载时ΔC=0,测量电桥非平衡值并利用公式(3)计算出电桥输出为零时所需的反馈信号Ve的值。重新测量桥路的输出,若输出为零,则桥路平衡;若输出不为零,重复上述测量步骤,直至桥路输出为零,即桥路平衡为止。该电桥电容测量电路原理上没有考虑消除杂散电容影响的问题,为此采取屏蔽电缆等复杂措施,而且其效果也不一定理想。通过实验测得其线性误差能达到±1*10-13F。
3 交流锁相放大电容测量电路
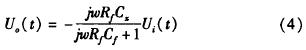
交流型的C/V转换电路基本原理如图5所示。
正弦信号Ui(t)对被测电容进行激励,激励电流流经由反馈电阻Rf、反馈电容Cf,和运放组成的检测器D转换成交流电压 Uo(t):
若jωRfCf>>1,则(4)式为
式(5)表明,输出电压值正比于被测电容值。为了能直接反映被测电容的变化量,目前常用的是带负反馈回路的C/V转换电路。这种电路的特点是抗杂散性、分辨率可高达0.4*10-15F。
由于采用交流放大器,所以低漂移、高信噪比,但电路较复杂,成本高,频率受限。
4 基于V/T变换的电容测量电路
测量电路基本原理如图6所示。
电流源Io为4DH型精密恒流管,它与电容C通过电子开关K串联构成闭合回路,电容C的两端连接到电压比较器P的输入端,测量过程如下:当K1闭合时,基准电压给电容充电至Uc=Us,然后K1断开,K2闭合,电容在电流源的作用下放电,单片机的内部计数器同时开始工作。当电流源对电容放电至Uc=0时,比较器翻转,计数器结束计数,计数值与电容放电时间成正比,计数脉冲与放电时间关系如图7所示。
电容电压Uc与放电电流Io的关系为:
令Uc=0,则有:
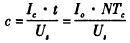
式中,N为计数器的读数;Tc为计数脉冲的周期;它是一个常数;在Us和Io为定值时,C与N成正比。
基于V/T变换的电容测量电路,对被测电容只进行一次充放电即可完成对被测电容的测量。采用了电子技术中准确度较高的时间测量原理,克服了传统测量微弱信号电路中放大器的稳定性不好、零点漂移大等缺点,且电路结构简单、测量精度和分辨率高。
5 基于混沌理论的恒流式混沌测量电路
恒流式混沌电路如图8所示。
其工作原理如下:当K1、K2断开时,K3闭合。电容C充电使Uc=Ux,然后K3断开,待周期为t的脉冲序列δ中的一个脉冲到达G(逻辑电路)时,G的输人信号使K2闭合,K1保持断开(此时相当于图9中的X1点),电容开始以-0.5Io的恒定电流放电。当Uc=0时,相当于电路中的A点,比较器翻转,输出电压Up由高电平变为底电平,Up的变化促使G变化,使G控制K1闭合、K2断开,此时电容C由恒定电流Io充电,使Uc按A-X2方向上升。当又一个脉冲到来时(相当于图8中X2点),G又开始变化,使K1断开、K2闭合,又一个放电充电过程开始。这样周而复始的放电充电使Uc的变化如图9所示,只要适当调整,Io和t就可以使电路处于混沌状态。
这种方法突出的优点是测量的分辨率高,测量的绝对误差不随被测电容值的变化而改变,对作为传感器的元件只要求稳定即可。当被测电容很大时,相对误差还会减小。此方法除了可以直接测量电容外,也可以作为电容式传感器测量其它电量和非电量。
6 基于电荷放大原理的电容测量电路
基于电荷放大原理的电容测量电路如图10所示,该电路是通过测量极板上的激励信号所感应出的电荷量而得到所测电容值的。图中Cx为被测电容,它的左侧极板为激励电极,右侧极板为测量电极。Cas和Cbs表示每个电极所有杂散电容的等效电容,Cas由激励信号源驱动,它的存在对流过被测电容的电流无影响。电容Cbs在
测量过程中始终处于虚地状态,两端无电压差,因而它也对电容测量无影响,因此整个电路对杂散电容的存在不敏感。
基于电荷放大原理的电容测量电路,一方面该电路对被测电容只进行一次充放电,就可完成对电容的测量,由于测量结果是直流稳定信号,不存在脉动成分,故电路中无需滤波器。因此大大提高了基于该电路的数据采集系统的数据采集速度。同时该电路具有很强的抗杂散电容的性能。另一方面该电路可以对各开关的控制时序进行合理的设计,用以较好地解决了电子开关的电荷注入效应对测量精度的影响问题,使电路达到了较高的分辨率。现在此电路成功应用于12电极ECT系统中,在不实时成像的情况下,数据采集速度可达600幅/s,对杂散电容具有较强的抑制能力,系统灵敏度4.8 V/pF,可达最高分辨率为5*10-15F。
7 结论
电容传感器性能很大程度上取决于其测量电路的性能,目前的微小电容测量技术正处于不断的完善中,还不能满足实际应用发展的需要。从工业角度而言,一个完善的微小电容测量电路应该具备低成本、低漂移、响应速度快、抗杂散性好、高分辨率、高信噪比和适用范围广等优点。在上述讨论的测量电路各有优缺点,相比较而言,交流锁相放大测量电路是目前实验室应用最好的检测电路,在现有研究成果基础上进一步改善其电路复杂、频率受限的缺点,将在工业实际测量中具有广泛的应用前景。把微小电容测量技术研究工作推上一个新台阶。


返回顶部
刷新页面
下到页底