- 零状态电路对于单位阶跃输入信号的响应,称为阶跃响应,并用 s(t) 表示。
1、RC电路的阶跃响应

- 图示电路,在 t=0 时开关打向电压源,C 上的电压可表示为:

2、RL 电路对矩形电压脉冲响应

- 如图示,激励源可表示为两个阶跃函数的线性叠加,求 i ( t ) 。
用两种方法求解如下:
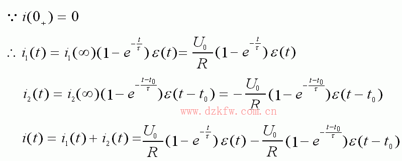
① 设 i (t) 也可表示为两个激励分别作用时响应 i1(t) 和 i2(t) 的叠加,则:

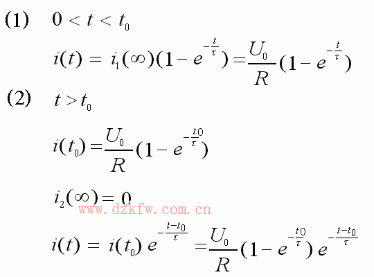
- ② 分时间段求解,如下:





用两种方法求解如下:
① 设 i (t) 也可表示为两个激励分别作用时响应 i1(t) 和 i2(t) 的叠加,则:


