1.变频器输入侧功率因数的特点
(1)畸变因数在变频器的输入电流中,谐波成分很大,所以变频器输入电流的畸变因数v较低,导致功率因数降低。
(2)位移因数高因为变频器输入电流的基波分量基本上是与电源电压同相位的,所以其位移因数很高,几乎等于1。
2.功率因数表的测量结果
(1)功率因数表的特点 功率因数表是根据偶衡表的原理制作的,其偏转角与同频率电压和电流间的相位差有关。所以,它能够准确地测量位移因数。
但对于谐波电流,则由于它在一个周期内所产生的电磁力将互相抵消,对指针的偏转角不起作用,所以功率因数表不能测定畸变因数。
(2)变频器功率因数的测量误区有人用功率因数表来测量变频器输入侧的功率因数,并以此证明使用变频器后,可提高功率因数,这是错误的。因为变频器输入侧的功率因数降低的根本原因,在于其具有相当强的谐波电流,导致畸变因数较低,而功率因数表偏偏不能测定畸变因数。
所以,如果用功率因数表来测量变频器输入侧的功率因数,所得到的结果是错误的。
几个基本定义:
(1)功率因数的定义在交流电路中,把平均功率与视在功率之比,称为
功率因数,即
λ=P/S ( 12-1)
式中λ-功率因数;
P-平均功率,也叫有功功率(kW);
S-视在功率,也叫表观功率(kVA)。
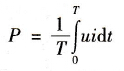
(2)平均功率的定义一个周期内,功率的平均值称为平均功率,即
(12-2)式中T-交变电流的周期(s);
u-电压的瞬时值(V);
i-电流的瞬时值(A);
dt-时间的微分(s)。
(3)视在功率的定义电压和电流有效值的乘积,称为视在功率,即
S=UI (12-3)
式中U-电压的有效值(V);
I-电流的有效值(A)。
1.基本分析设:
u=Umsinωt
i=Imsim(ωt-φ)
式中 Um-电压的振幅值(V);
Im-电流的振幅值(A);
ω-角频率;
t-时间(s);
φ-电流与电压的相位差角。
由式(12-1)和式(12-4),得
(12-5)式中cosφ-位移因数。
2.结论实际上,λ=cosφ就是同频率正弦电流的功率因数。在电力电子技术未进入实用阶段之前,电气设备中的电流绝大多数都是正弦波。所以,人们通常把电流与电压相位差角的余弦cosφ就定义为功率因数。
1.谐波电流的平均功率对于分析非正弦电流的功率因数来说,了解谐波电流的平均功率是至关重要的。在电工基础里,非正弦电流可以通过傅里叶级数分解成许多谐波电流,或者说非正弦电流可以看成是许多谐波电流的合成。
(1)基本分析今以5次谐波电流为例,分析如下:
设:u=Umsinωt
i5=I5msin5ωt
则:
(12-6)
(12-6)式中P5-5次谐波功率的平均值(kW);
i5-5次谐波电流的瞬时值(A);
I5m-5次谐波电流的振幅值(A)。
式(12-6)表明,5次谐波电流的平均功率为0。可以进一步证明,所有各次谐波电流的平均功率都等于0,或者说谐波电流的功率都是无功功率。
(2)物理意义在5次谐波电流的瞬时功率中,一部分是正功率,另一部分是负功率,并且正功率和负功率的总面积正好相等,故平均功率为0,如6.3节中的图6-12所示。
2.非正弦电流的功率因数
(1)基波电流与电压同相位在基波电流与电压同相位的情况下,上述的位移因数可不必考虑。
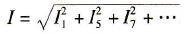
非正弦电流的有效值由下式计算:
式中I1,I5,I7-基波电流、5次谐波电流和7次谐波电流的有效值(三相对
称电路中不存在以3为倍数的谐波电流)。
因为非正弦电流的无功功率是由于电流波形发生畸变而形成的,故其功率因数用畸变因数来表述,即
式中v-畸变因数。
(2)基波电流与电压不同相 当基波电流的相位与电压相位之间存在相位差时,有:
1)各次谐波电流的平均功率仍为0;
2)基波电流与电压之间因有相位差而产生的位移因数必须考虑。
所以,非正弦电流的功率因数的表达式为
λ=vcosφ (12-9)


返回顶部
刷新页面
下到页底