晶体or晶振,还是傻傻分不清楚?
晶体是晶体谐振器(Crystal)的简称,也称为无源晶体。一般是利用石英晶体的压电效应,用来产生高精度振荡频率的一种电子元件。无源晶体需要依靠电容电阻才能进行起振。
晶振是晶体振荡器(Oscillator)的简称,也称为有源晶振。有源晶振内部集成了起振电路,无需外部添加其他元器件即可正常工作,但其需要外部电源供电。
在封装上晶体通常为两脚和四脚,晶振通常为四脚或四脚以上。可以肯定的是,两脚的一定是晶体。 对于四脚的晶体和晶振,需要观察其外围电路是否有其他器件连接,如若无则为有源晶振。或者查看高度,一般晶振的厚度比晶体要高。
常见晶体晶振实物如下图所示:
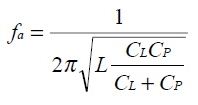
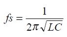
R是ESR串联等效阻抗,L和C分别是等效电感和电容,Cp为寄生电容。
当晶振在串联谐振状态下工作时,线路表现为纯阻性,感抗等于容抗(XL=XC),串联谐振频率为:
当晶振在并联谐振状态下工作时,线路表现为纯感性。在这种模式下,工作频率由晶振的负载决定。对于并联谐振状态的晶振,晶振制造商应该指定负载电容CL。在这种模式下,谐振频率:
在并联谐振模式下,电抗线中fs到fa的斜线区域内,通过调整晶振的负载,晶振都可以振荡起来。
晶振电路
晶振振荡电路图如下图所示。这样的组成可以使晶振处于并联谐振模式。反相器提供了180°的相移,晶振、R1、C1、C2组成的π型网络产生另外180°的相移。所以整个环路的相移为360°。这满足了保持振荡的一个条件。另外一个条件是要求闭环增益应≥1,才能正确起振和保持振荡。
电阻Rf产生负反馈,它将反相器设定在中间补偿区附近,使反相器工作在高增益线性区域。电阻值很高,范围通常在500KΩ ~2MΩ内。图示的C1,C2就是为晶振工作在并联谐振状态下得到负载电容CL的电容。关于最优的负载电容CL的计算公式为:
其中Cs为PCB中晶振引脚寄生电容,典型值为2-5pF。通常C1,C2值取值相等。R1是驱动限流电阻,主要功能是限制反相器输出,这样晶振不会被过驱动(over driven)。R1、C1组构成分压电路,这些元器件的数值是以这样的方式进行计算的:反相器的输出接近rail-to-rail值,输入到晶振的信号是rail-to-rail的60%,通常实际是令R1的电阻值和的C1容抗值相等,即R1 ≈ XC1。这使晶振只取得反相器输出信号的一半。要一直保证晶振消耗的功率在厂商说明书规定范围内,过驱动会损坏晶振。
一般情况下,增大负载电容会使振荡频率下降,而减小负载电容会使振荡频率升高。 参考下图:
一些芯片内置了这些外部器件(Rf,R1,C1,C2),因此消除了电路设计师的烦恼。这种情况下,只要把晶振连接在XTAL引脚上即可。


返回顶部
刷新页面
下到页底