在了解正弦交流电的瞬时值、最大值和有效值之前我们先来看看前一节课中的正弦交流电电动势波形图,如下右图所示。这个波形图还可以用数学表达式表示为:
公式中:Em表示为最大值、ω为电角度、e为瞬时值、t表示时间。
由上述公式可见,交流电的大小是随着时间变化而变化的,瞬时值(某一瞬间)的大小在零和正负峰值之间变化,最大值也仅是一瞬间数值,不能反映交流电的做工能力。
于是便引入有效值的概念,其定义为:
如果交流电和直流电分别通过同一电阻,两者在相同的时间内所消耗的电能相等(或所产生的焦耳热相同),则此直流电的数值就叫做交流电有效值的数值。
正弦交流电的电动势、电压、电流的有效值分别以E、U、I表示。通常所说的交流电的电动势、电压、电流的大小均值它的有效值。交流电电气设备上标的额定值以及交流电仪表所指示的数值也均为有效值。
理论和实验均已表面、正弦交流电的有效值与最大值之间的关系为:
其他正弦量(电压、电流等)也可以写出文中开头第一个表达式的形式:
电压、电流也都有瞬时值、最大值、有效值。一般瞬时值用小写字母(如u、i等)表示,最大值用大写字母附有下标m字母表示(如Um、Im)。有效值用大写字母(U、I)表示。最大值与有效值的关系为:
2、正弦交流电的解析式表示法定义:用三角函数式表示正弦交流电随时间变化规律的方法。
例:正弦交流电动势、电流及电压解析式:
e(t) = Emsin(wt + je0)
i(t) = Imsin(wt + ji0)
u(t) = Umsin(wt + ju0)
3、正弦交流电的有效值和平均值假设将交流电和直流电分别通过阻值相同的电阻,如果在相同的时间内,这两种电流产生相同的热量,就把这时的直流电的数值称为交流电的有效值。
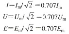
通过计算得出,正弦交流电的电流、电压、电动势的有效值均为其最大值的1/√2倍,近似为0.707倍。将有效电流、有效电压和有效电动势分别用I、U、E表示,其关系式为
通常所说交流电压220V、380V,以及额定电压、额定电流等都是指的有效值。
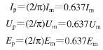
正弦交流电的平均值是指它的绝对值在一个周期内的平均值,所以通常把正弦交流电的平均值称为均绝值。通过计算得出正弦交流电流的平均值、交流电压的平均值,以及交流电动势的平均值分别为


返回顶部
刷新页面
下到页底