电路的共模抑制比不仅取决于电阻的匹配精度,还取决于运算放大器的共模抑制比、开环增益和输入阻抗等参数,甚至电路的分布参数也会影响电路的共模抑制比。基本差动放大器



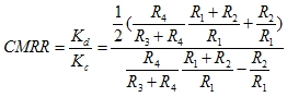
共模抑制比CMRR为
工程上为了减少器件品种和提高工艺性,常常使
此时
实际上,电路的共模抑制比不仅取决于电阻的匹配精度,还取决于运算放大器的共模抑制比、开环增益和输入阻抗等参数,甚至电路的分布参数也会影响电路的共模抑制比。这种差动放大电路结构简单,但输入电阻较低,增益调节困难,使其应用受到很大限制。
Tags:减法运算,减法运算电路
责任编辑:admin相关文章列表
没有相关文章 [ 查看全部 ] 网友评论
推荐文章
最新推荐
热门文章


返回顶部
刷新页面
下到页底