逻辑电路按其逻辑功能和结构特点可分为组合逻辑电路和时序逻辑电路。单一的与门、或门、与非门、或非门、非门等逻辑门不足以完成复杂的数字系统设计要求。组合逻辑电路是采用两个或两个以上基本逻辑门来实现更实用、复杂的逻辑功能。
接下来跟随小编一起了解一下关于组合逻辑电路的实验原理吧。
一、实验目的
1、掌握用与非门组成的简单电路,并测试其逻辑功能。
2、掌握用基本逻辑门设计组合电路的方法。
二、实验原理
数字电路按逻辑功能和电路结构的不同特点,可分为组合逻辑电路和时序逻辑电路两大类。组合逻辑电路是根据给定的逻辑问题,设计出能实现逻辑功能的电路。用小规模集成电路实现组合逻辑电路,要求是使用的芯片最少,连线最少。一般设计步骤如下:
1、首先根据实际情况确定输入变量、输出变量的个数,列出逻辑真值表。
2、根据真值表,一般采用卡诺图进行化简,得出逻辑表达式。
3、如果已对器件类型有所规定或限制,则应将函数表达式变换成与器件类型相适应 的形式。
4、根据化简或变换后的逻辑表达式,画出逻辑电路。
5、根据逻辑电路图,查找所用集成器件的管脚图,将管脚号标在电路图上,再接线 验证。
三、实验仪器及器件
数字实验箱一台,集成芯片74LS00一块、74LS20三块,导线若干。
四、实验内容
1、用非与门实现异或门的逻辑功能
(1) 用集成电路74LS00和74LS20(74LS20管脚见图1所示),按图2连接电路(自己设计接线脚标),A、B接输入逻辑,F接输出逻辑显示,检查无误,然后开启电源。

(2)按表1的要求进行测量,将输出端F的逻辑状态填入表内


(3) 由逻辑真值表,写出该电路的逻辑表达式

2、用与非门组成“三路表决器”
(1)用74LS00和74LS20组成三路表决器,按图3连接电路(自己设计接线脚标),A,B,C接输入逻辑,F接输出逻辑显示,检查无误,然后开启电源。
(2)按表2的要求进行测量,将输出端F的逻辑状态填入表内。

3、设计一个“四路表决器”逻辑电路并测试
设计一个四变量的多路表决器。当输入变量A、B、C、D有三个或三个以上为1时,输出F为1;否则输出F为0。
(1)根据设计要求列出表3四人表决器真值表。
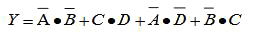
(2)用卡诺图化简逻辑函数,写出逻辑表达,F=

(3)用74LS20与非门实现“四人表决器”,画出实验电路,标出接线脚并测试,验证所列真值表。

4、设计型题目:
试用两片74LS00,设计一个输血——受血判别电路,当输血者和受血者的血型符合下列规则时,配型成功,受血者可接受输血者提供的血液。
(1)A 型血可以输给A 或AB 型血的人;
(2)B 型血可以输给B 或AB 型血的人;
(3)AB 型血只可以输给AB 型血的人;
(4)O 型血可以输给A、B、AB、O 型血的人。
提示:AB代表输血者血型;CD代表受血者血型。00为o型血,01为A型血;10为B型血,11为AB型血,F为1可相互输血,为0不可相互输血。先列出真值表画出卡诺图写出最简与非式,并画出逻辑电路图。
用卡诺图化简逻辑函数,写出逻辑表达:



返回顶部
刷新页面
下到页底