为了实现信息的无线传输,任何无线发射电路都需要一定的发射功率,这一用于使待发射高频信号具有一定功率的电路,就称为高频功率放大电路。
1、按输出功率分类
(1)小功率射频功放
《微功率(短距离)无线电设备管理暂行规定》附件所列的各项微功率无线电设备,其无线发射功率一般都在1W以下,这些设备所包含的射频放大电路即属于小功率射频功放。
(2)大功率射频功放
移动电话基站的发射功率约几十瓦,一个城市的电视信号发射功率达到几kW,省级广播电台的发射功率在几kW至几十kW之间。此外,微波通信中继站、雷达站等都属于大功率射频功放的范围。
2、按功放电路的负载分类
(1)窄带功率放大电路
以选频网络为负载的功放电路,称为窄带功率放大电路。
只有频率等于LC回路谐振频率的成分才被有效地放大。以LC回路为负载的功率放大电路具有频率选择性,因此也称选频放大电路。
优点:
选频作用可来抑制干扰。
缺点:
非线性失真比较大。
LC选频网络中心频率的调节也不方便。
(2)宽带功率放大电路
以宽带传输线变压器为负载的,称为宽带功率放大电路

①传输线变压器既是功放电路的负载,同时又起着将高频信号传输到下一级的作用。
②传输线变压器没有选频的作用,同时又有很好的频率特性,其上限频率可以扩展到几百兆赫乃至几千兆赫。
3、按功率放大管导通角分类
(1)甲类功放电路
在信号的正负半周,功放管始终处于导通状态,这样所组成的功放电路也就称为甲类功放电路。处于甲类工作状态的功放管,为了避免负半周时管子进入截止区而造成失真。处于甲类工作状态的功放管,静态时就有较大的电流通过。
(2)乙类功放电路
在信号的负半周截止,正半周时导通,就说功放管处于乙类工作状态,这样所组成的功放电路称为乙类功放电路。处于乙类工作状态的功放管,静态是电流为零。
(3)丙类功放电路
功放管只在正半周的一部分时间内导通,信号负半周及正半周输入信号幅度较小时均不导通,就说功放管处于丙类工作状态,所组成的功放电路称为丙类功放电路。处于丙类工作状态的功放管,静态时基极是负偏置的。
功放管在一个周期内的导通时间可以用相位角来表示。我们将管子导通时间一半所对应相位角定义为功放管的导通角θ。各类功放导通角如下:
(1)甲类功放电路
功放管在360°的时间内均导通,其导通角即为θ=360°/2=180°
(2)乙类功放电路
功放管正半周导通,导通角θ=90°
(3)丙类功放电路
功放管在正半周输入信号较大时才导通,因此导通导通角θ< 90°
甲类、乙类和丙类功率放大电路也称A类、B类和C类功率放大电路。
二、高频功率放大电路的主要技术指标 1、频率范围
各项技术参数都符合要求的情况下功放电路的工作频率范围。
射频功放模块BGY916为例,工作频率的最大值为960MHz,最小值为920MHz。

2、输出功率Po
设一个射频功放电路的输出功率为P,定义P与1mW(或1W)比值的对数乘10为该电路以dBm(或dBW)为单位的功率值,该输出功率的功率电平为
![]()
![]()
也可以根据功率电平值求出电路的绝对功率值,以dBm为例,设一功放电路的功率电平等于Px(单位dBm),则其绝对功率P等于

例如,电路功率电平Px=20dBm,代入上式,可求得其绝对功率为100mW。
3、效率η
功率放大电路的效率定义为输出信号功率与电源供给功率之比。

式中Po为功放输出信号功率,Pu电源提供的功率,效率的大小反映电源所提供的能量多大程度上被转换为无线电波的能量。模块BGY916效率的最小值为35%,典型值为40%。
三、C类谐振功率放大电路原理1、纯电阻为负载的C类功率放大电路
电路结构:
三极管VT1被接成共射极电路,集电极负载是电阻RC,输入信号ui经电容C1耦合加到基极和发射极之间,放大后的信号uo从集电极输出。其特点是基极静态电压UBQ小于发射结开启电压Uon,即UBQ<Uon。
工作原理:
设输入信号ui为余弦波,振幅为Uim,角频率为ω
![]()
基极静态偏置电压为UBQ,加入信号电压后,加在发射结之间的总电压是交流信号ui和直流偏置电压之和,因此基极-发射极间电压为
![]()
式中UBQ是基极静态电压,Uim是余弦波的峰值
讨论工作原理的做法是:求出输入信号ui为余弦波时集电极负载电阻上的输出电压
(1)首先根据输入信号求出集电极电流ic

uBE必须大于开启电压Uon 三极管才导通,也只有这时,集电极电流才不等于零,因此得出集电极电流曲线如图所示。
(2)根据集电极电流ic求出集电极电压uc
集电极电压uc和集电极电流ic的关系是
![]()
由此即可画出集电极电压uc曲线如图所示。
uC(t)为脉动性的电压,显然不符合功率放大的要求。
电路结构:
用LC并联回路取代电阻Rc,所组成的电路称为C类LC谐振功率放大电路。它由三极管VT1、LC并联谐振回路、输入信号耦合电容C1、基极偏置电压UBQ和集电极偏置电压VCC组成。
如何改善输出电压波形:
ic是周期性函数,可以分解为许多余弦波的叠加:![]()
第一项是直流分量,第二项为基波分量,其余为高次谐波。只有基波分量才是与输入信号ui成正比的量。
![]()
选择LC回路的谐振频率等于基频,含有多种频率成分的电流iC(t)流经LC回路时,只有基频才表现出最大的输出电压,因此,可以求得集电极交流信号电流为
![]()
集电极交流信号电压等于交流电流与谐振阻抗RT的乘积,因此求得集电极输出电压
![]()
于是就实现了输入余弦波信号的功率放大,可以画出输出波形如下。
脉动性电流经LC回路的选频作用,形成正弦波交流电流

求解集电极交流信号峰值Ic1m
为了计算上述C类LC谐振功放的输出功率和效率,需要求出基波分量ic的峰值Ic1m。
脉动性电流ic如图所示,用Icmax表示脉动电流的峰值。通过LC回路的选频作用,可从脉动电流中选出基波信号![]()
通过复杂的计算,可以证明, ic的峰值Ic1m与脉动电流峰值Icmax及导通角有关,它们之间的关系可以用下面的曲线来表示。
求解集电极交流信号峰值Ic1m
曲线α0表示直流分量Ic0随导通角变化的情况
![]()
曲线α1表示基波分量Ic1m随导通角变化的情况
![]()
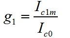
曲线g1表示基波分量与直流分量比值Ic1m/Ic0随导通角变化的情况

功放电路效率公式
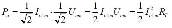
放大电路信号输出功率等于集电极信号电流有效值与集电极信号有效值的乘积,可以求得输出功率Po为

Ic1m-基波电流分量振幅
另一方面,直流电源供给的功率PDC等于集电极直流分量Ic0与电源电压VCC的乘积,即
![]()
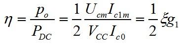
功率放大电路的效率η等于输出功率Po和直流电源供给功率PDC之比,即

式中


功放电路效率与导通角之间的关系
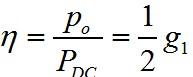
设电压利用系数ξ=1,则效率为

由图可以求出以下关系:
θ=180°,g1=1,η=50%;
θ=90°,g1=1.57,η=78.5%;
θ=60°,g1=1.8,η=90%
由图看出,波形系数g1随导通角θ的增加而增加,θ=0时效率将达到100%。但注意输出功率和α1有关, θ=0 时α1 =0,P0也等于零,因此θ宜取60°~70°。
上述LC谐振功率放大电路付诸实用,还需要解决以下两方面问题:
(1)功放的直流馈电
为高频功率放电路提供直流电源,并形成符合要求的基极和集电极静态电压,这部分电路称为直流馈电电路。高频功放直流馈电要比低频放大电路复杂,馈电方式也较多,需要专门加以讨论。
(2)滤波匹配电路
为了提高输出功率,改善功放放电路的特性,还需要解决高频功放与前后级的阻抗匹配问题,以LC并联谐振回路为集电极负载,解决了选频的问题,但还不能解决与后级实现阻抗匹配的问题。此外,功放电路与前级(例如振荡电路内阻)也需要实现阻抗匹配,因此功放电路输入端也需要接入符合要求的阻抗匹配网络。


返回顶部
刷新页面
下到页底