中心距
平行轴齿轮副或交错轴齿轮副,两轴线间的最短距离(图6-16),亦即两齿轮轴线间公垂线(连心线)长度称齿轮中心距简称中心距。其值总等于齿轮副两节圆半径之和(a=r1′+r2′),或等于两分度圆半径与分离量之和(a=r1+r2+ym)。
连心线
在平行轴或交错轴齿轮副中,两轴线之间的公垂线称连心线。连心线的长度即中心距。
名义中心距
实际齿厚为公称值(理论计算值),无侧隙啮合条件下的齿轮副的中心距。亦即设计中心距,或称理论中心距。
标准中心距
标准齿轮副在无侧隙啮合条件下,两轴线间的最短距离(连心线长度),称标准中心距(图6-17)。高变位圆柱齿轮副的中心距与标准圆柱齿轮副的中心距相等。标准中心距的值分别为:
平行轴圆柱齿轮副![]()
交错轴圆柱齿轮副
蜗杆副
标准安装中心距
无侧隙啮合,并具有标准顶隙值,这种安装条件的齿轮副中心距称标准安装中心距。中心距的通用计算式为:![]()
非标准中心距
齿轮副中,至少有一个变位齿轮,在无侧隙啮合条件下,两齿轮轴线的最短距离(连心线)称非标准中心距,亦称变位中心距。其数值等于a′=r1′+r″。对于高变位齿轮副,a=a′;平行轴圆柱齿轮副,
;对于交错轴斜齿圆柱齿轮副,
;蜗杆副中心距
。
非标准安装中心距
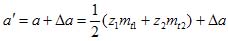
有侧隙啮合,顶隙不为标准值的条件下,齿轮副的中心距,称非标准安装中心距。非标准安装中心距大于标准安装中心距,两者的啮合参数也有所不同。a″>a ,r″>r′,a″>a′,c″>c,j″>j(“〃”表示非标准安装)。非标准安装中心距等于标准安装中心距与中心距增量Δa之和。即:![]()
刀具的标准安装
用齿条刀具或齿轮插刀加工齿轮时,若齿轮毛坯的分度圆与齿条刀具的基准线(图6-18);或与插刀的分度圆分别相切,这时毛坯和刀具的相对安装位置称刀具的标准安装。刀具标准安装加工出来的齿轮是标准齿轮。
刀具的变位安装
用齿条刀具展成齿轮时,若齿条的基准线(中线)与齿轮毛坯的分度圆(节圆)不相切,这时刀具相对毛坯的安装位置称刀具的变位安装(图6-19)。刀具基准线与毛坯分度圆的径向分离量mx称变位量,x称变位系数。变位安装切制成的齿轮为变位齿轮。
齿条标准安装
齿条安装一般是指,齿条刀具加工齿轮时齿条刀具相对毛坯的安装。所谓齿条标准安装即齿条刀具的中线和毛坯分度圆(节圆)相切的安装位置,否则称齿条非标准安装。齿条标准安装加工出来的齿轮是标准齿轮。非标准安装加工出来的齿轮是变位齿轮。
插齿刀切制标准外齿轮不根切的最少齿数
插齿刀是一个变位齿轮,切制标准齿轮时,相当于一对角变位齿轮副,不发生根切的条件是:刀具的齿顶圆不应越过齿坯基圆上的啮合极点N,即PB≤PN(或者N0B≤N0N)(图6-20),于是可得:
式中,h*a0=h*a+x0,即插齿刀实际齿顶高系数。由上式可知,决定最少齿数zmin的关键因素是插齿刀的齿数。

插齿刀加工外齿轮时的最小变位系数
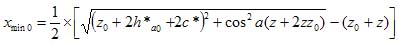
用插齿刀切制外齿轮时,同样可以采用径向变位的方法避免根切。中心距a0增大,使刀具齿顶圆恰好通过啮合极点N,这时,插齿刀分度圆与齿坯分度圆之间的距离称最小变位量,亦即机床啮合的分离量(图6-21)。最小变位量除以模数所得的商称最小变位系数xmin。由图可导出:![]()
中心距变动量
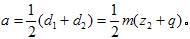
齿轮副在无侧隙啮合条件下,两相啮齿轮分度曲面在连心线上的分离量。即变位中心距a′与标准中心距a之差(图6-22a)。

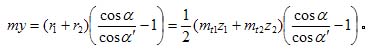
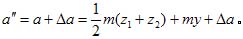
my=a′-a=Δa,对于外啮合齿轮副,a′>a时my为正,这时两分度曲面分离(图6-22b);a′<a时my为负,这时两分度曲面相交(图6-22c)。内齿轮副则相反。于是可得:![]()
对于交错轴圆柱齿轮副:
中心距变动系数
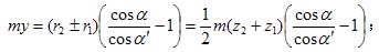
中心距变动量my除以模数所得的商;或中心距变动量my乘以径节(以mm计)所得的积,称中心距变动系数y。变动系数y的正负号由中心距变动量my的正、负号确定。
齿顶圆变动量
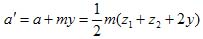
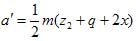
角变位齿轮副,在无侧隙啮合条件下,为了实现标准顶隙,需要对齿顶圆大小给予微量变动,这时顶圆半径的变动值称齿顶圆变动量Δmy。Δy称齿顶圆变动系数。外齿轮Δym为负值,内齿轮Δmy为正值。于是角变位齿轮的齿顶圆半径为 ra=r+h*am+mx+Δym。齿轮变位量、齿顶圆变位量、中心距变动量之关系为m(x1+x2)=ym+Δym,x1+x2=y+Δy。齿顶圆变动量仅影响齿顶圆半径及齿顶高的大小,而不影响齿根高及齿根圆大小。
齿顶圆变动系数
齿顶圆变动量Δym除以模数m所得的商,或齿顶圆变动量乘以径节(以mm计)所得的积。Δy的符号由σm确定。


返回顶部
刷新页面
下到页底